• Предмет: Алгебра
  • Автор: CurlyD
  • Вопрос задан 8 лет назад

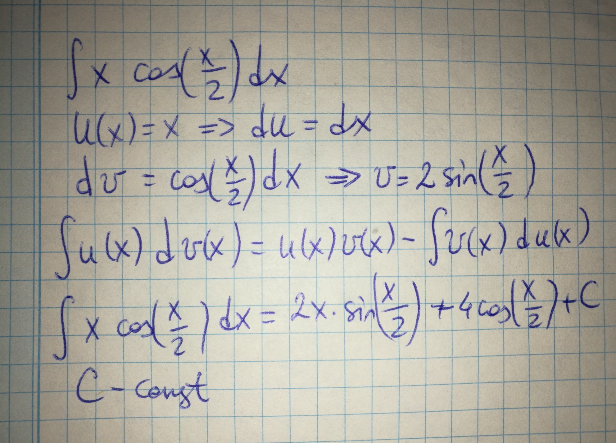
Один интеграл и 54 балла!int{x cos x/2} , dx

Ответы

Ответ дал: spasibo3pajbrh
0
Здесь интегрирование по частям
Решение на фото.
Удачи!
Приложения:
Ответ дал: CurlyD
0
Спасибо большое!
Вас заинтересует