• Предмет: Геометрия
  • Автор: top95
  • Вопрос задан 8 лет назад

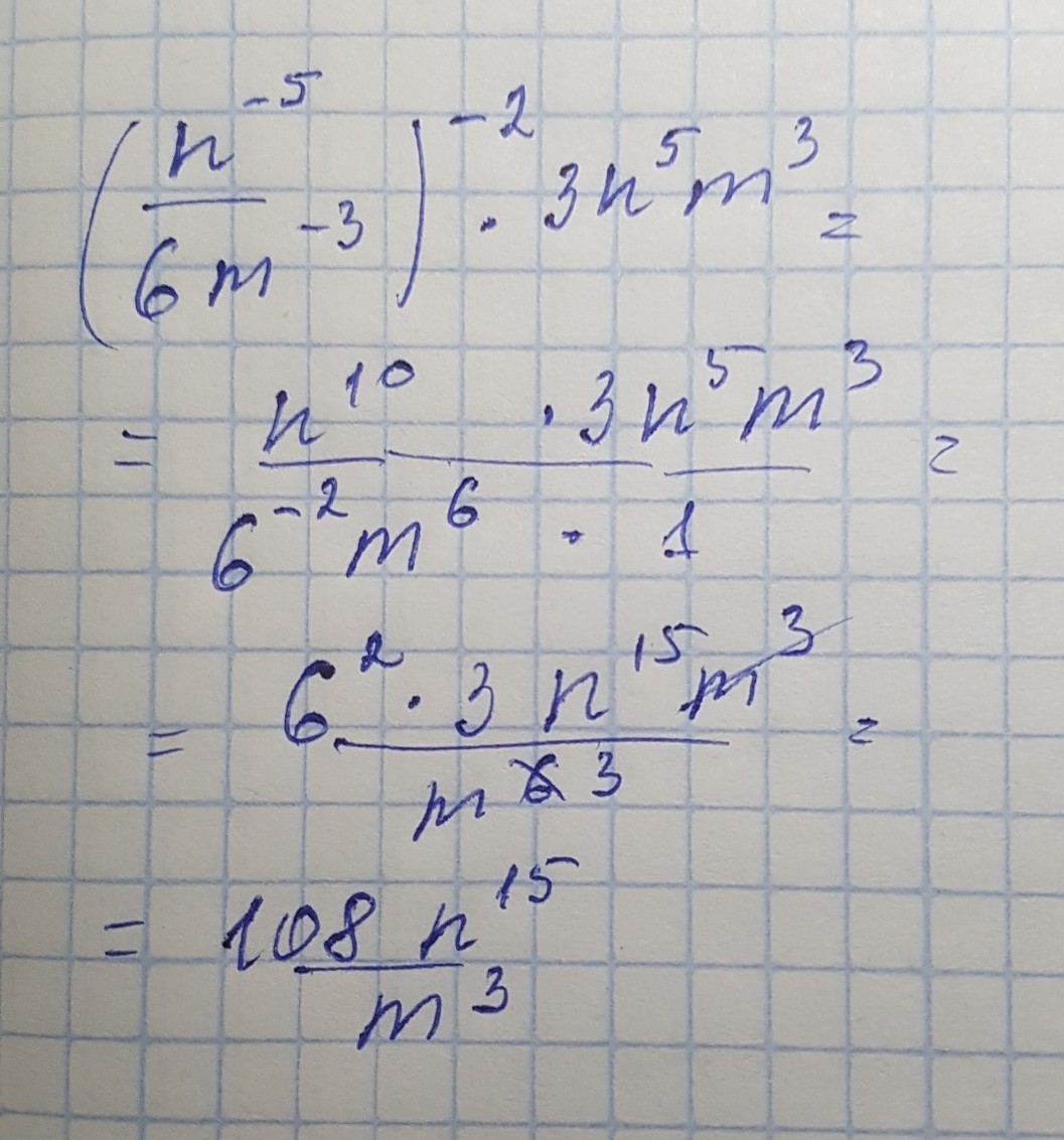
упростить выражение (n^-5/6m^-3)^-2*3n^5m^3

Ответы

Ответ дал: 1233090
0
решение задания смотри на фотографии
Приложения:
Ответ дал: top95
0
ты меня спас(ла)
Ответ дал: 1233090
0
был рад помочь
Ответ дал: top95
0
у меня просто сор
Ответ дал: Аноним
0
Вы тебя тоже сор?!
Вас заинтересует