Ответы
Ответ дал:
0
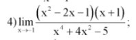
Основная идея моего решения заключается в разложении делителя по схеме Горнера и сокращении множителей.
UPD. Добавил вторую фотку. Чекни её.
Приложения:


Ответ дал:
0
у меня получилось x^3+x^2+5x+5, у тебя со знаками все норм?
Ответ дал:
0
Чекни UPD. Я подробнее расписал
Вас заинтересует
2 года назад
2 года назад
3 года назад
3 года назад
9 лет назад
9 лет назад