Ответы
Ответ дал:
0
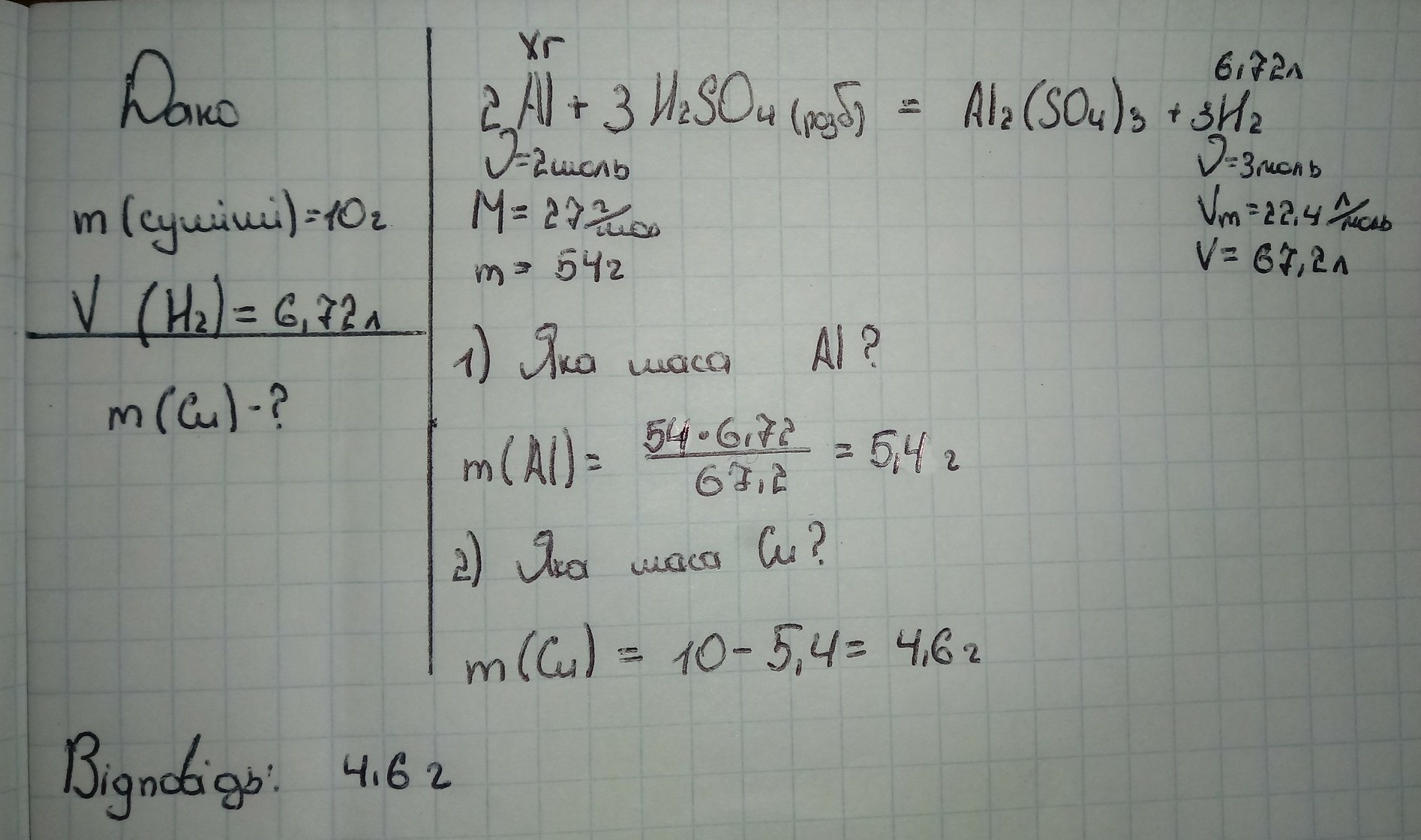
Відповідь на фотографії
Приложения:

Ответ дал:
0
потім дам
Ответ дал:
0
я добавив інше
Ответ дал:
0
Смарт
Ответ дал:
0
Смарт допоможи прошу
Ответ дал:
0
дуже
Вас заинтересует
2 года назад
3 года назад
3 года назад
9 лет назад
9 лет назад
9 лет назад