Ответы
Ответ дал:
0
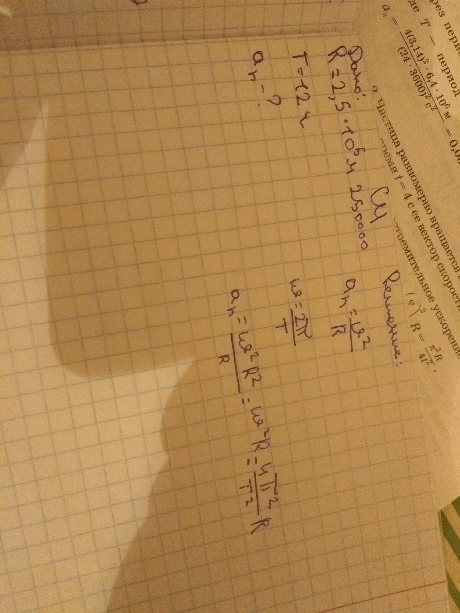
а(n)= v^2/R;
v= 2π/T | a(n)= (2π/T)^2/R;
a(n)= (2*3,14/4,32 *10^3с)^2/2,5*10^5= (1,45*10^3)^2/2,5*10^5= 1,45*10^6/2,5*10^5= 0,58*10= 5,8 м/с^2.
ОТВЕТ: а(n)= 5,8 м/с^2.
v= 2π/T | a(n)= (2π/T)^2/R;
a(n)= (2*3,14/4,32 *10^3с)^2/2,5*10^5= (1,45*10^3)^2/2,5*10^5= 1,45*10^6/2,5*10^5= 0,58*10= 5,8 м/с^2.
ОТВЕТ: а(n)= 5,8 м/с^2.
Вас заинтересует
2 года назад
2 года назад
3 года назад
3 года назад
9 лет назад
9 лет назад
10 лет назад