• Предмет: Алгебра
  • Автор: LineFox
  • Вопрос задан 8 лет назад

Срочно!
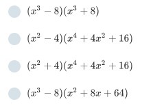
Разложите по формуле разности кубов: x^6-64
Варианты снизу

Приложения:

Ответы

Ответ дал: veronikaklubnica
0

Второе: (x^2-4)(x^4+4x^2+16)

Ответ дал: LineFox
0
Спасибо, всё верно :-)
Ответ дал: veronikaklubnica
0
;)
Вас заинтересует