• Предмет: Математика
  • Автор: forget34
  • Вопрос задан 8 лет назад

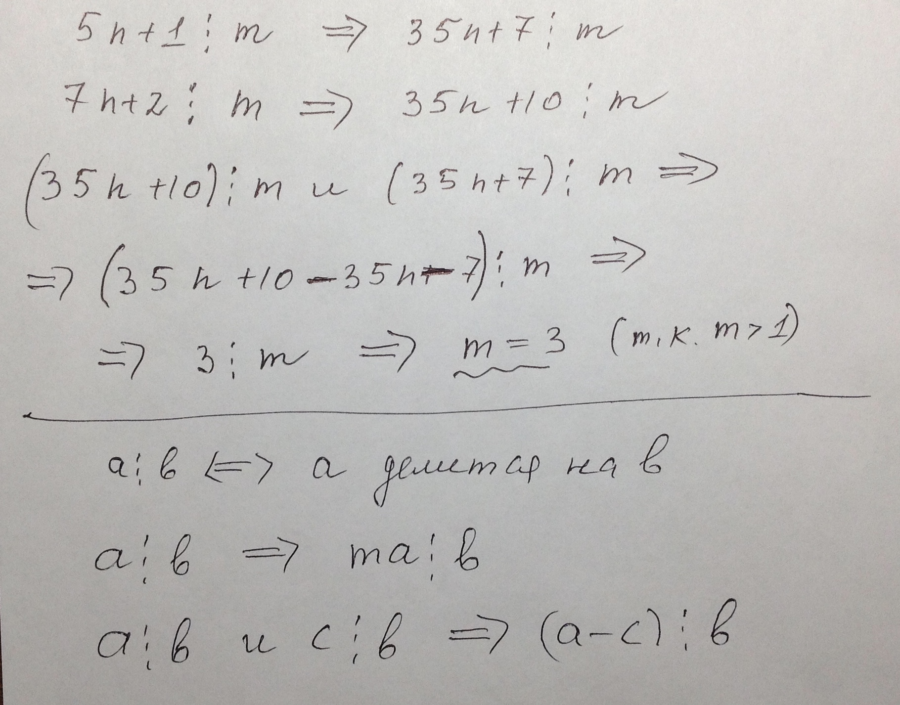
Натуральные числа 5n +1 и 7n+2 делятся на натуральное число m>1 .Найти m

Ответы

Ответ дал: antonovm
0

//////////////////////////////////////////////////////////

Приложения:
Вас заинтересует