Ответы
Ответ дал:
0
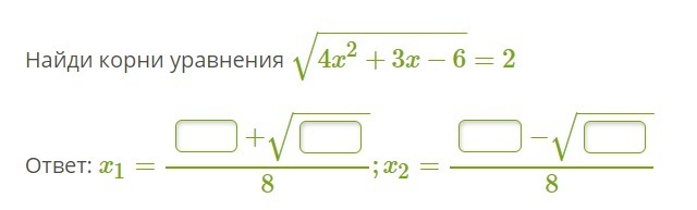
Правая часть всегда больше 0, следовательно бахаем квадрат

и теперь

и
и теперь
и
Ответ дал:
0
прости, я упустил момент с корнем. сейчас я все доделал
Ответ дал:
0
Кстати, Вы корни нашли неверно. Скорее всего, ошиблись в формуле для корней квадратного уравнения
Ответ дал:
0
блин. нашел. 5 минут
Ответ дал:
0
У Вас получатся два корня, и оба подойдут. В этом мы можем быть уверены, поскольку подкоренное выражение в процессе решения приравнивалось к положительному числу 4 и поэтому не может быть отрицательным
Ответ дал:
0
вы даже не представляете. как это отвратительно исправлять эти формулы здесь. когда я исправляю этого конструктора нет, и все комадвы прописываются вручную. это жестоко
Вас заинтересует
2 года назад
2 года назад
3 года назад
9 лет назад
9 лет назад
10 лет назад