Ответы
Ответ дал:
0
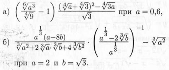
корни переводим в степени (степень над числом в числитель, а степень над корнем в знаменатель). потом переворачиваем дробь со степенью -1. раскрываем скобки (при умножении степени складываем). сокращаем и получаем ноль
Приложения:

Ответ дал:
0
над числом пишется НЕ степень, а ПОКАЗАТЕЛЬ степени ... Степень - это всё выражение ( x^{n} ) .
Ответ дал:
0
ммм, окей... от этого решение как-то поменялось?
Ответ дал:
0
решение не поменялось, а вот исправить слова можно было бы...
Ответ дал:
0
просто, если писать , то писать верно
Ответ дал:
0
окей, прости. возможно была не права
Ответ дал:
0
Приложения:

Вас заинтересует
2 года назад
2 года назад
3 года назад
9 лет назад
9 лет назад