• Предмет: Алгебра
  • Автор: olga322
  • Вопрос задан 8 лет назад

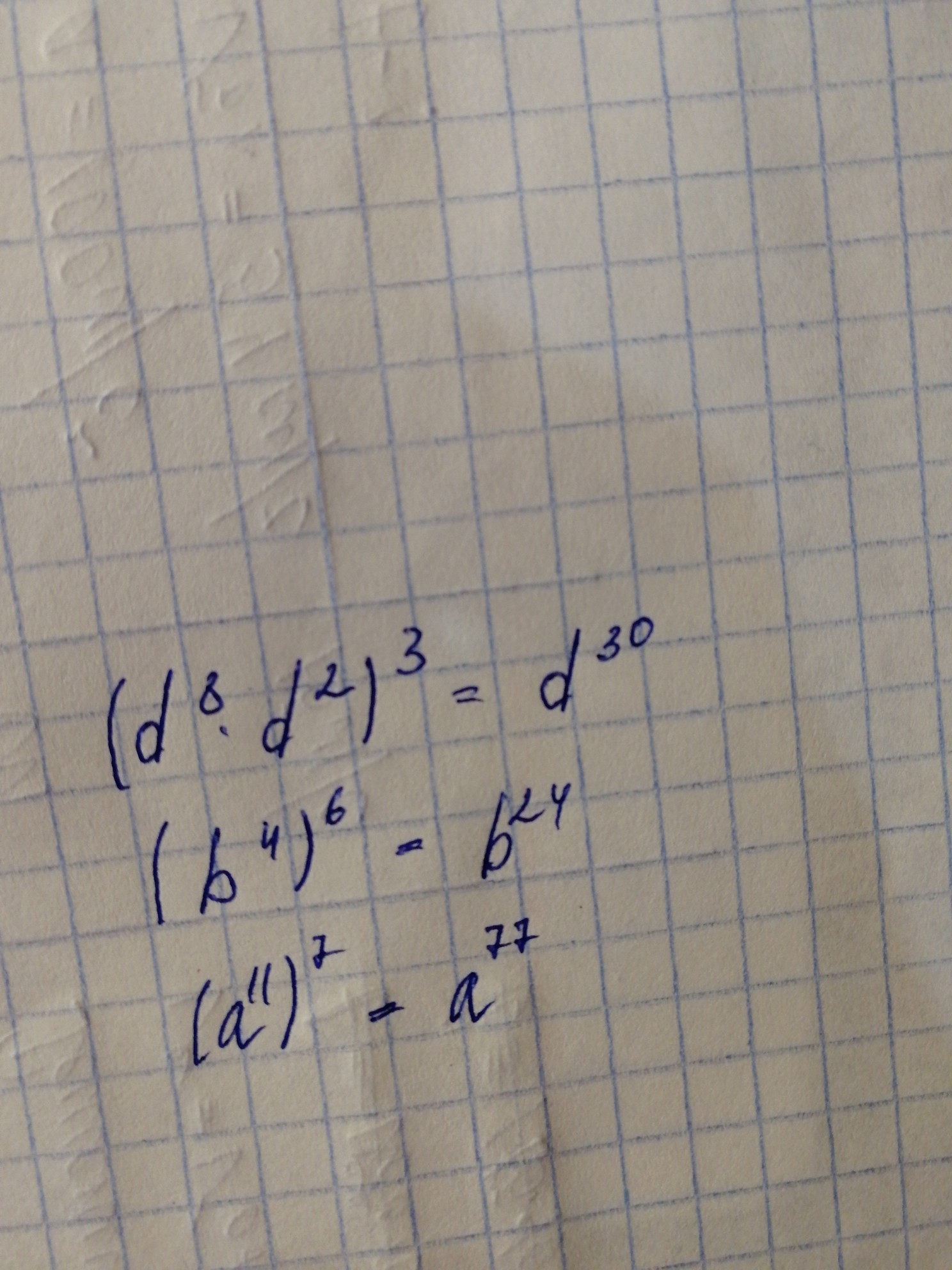
УПРОСТИТЕ (d В 8 СТЕПЕНИ d2СТЕПЕНЬ)3 СТЕПЕНИ
(в4СТЕПЕНИв)6СТЕПЕНИ
(аа11 СТЕПЕНИ)7СТЕПЕНЬ

Ответы

Ответ дал: angelfoxinx
0
Надеюсь я правильно
Приложения:
Ответ дал: erika2406
0
Решение в преложении
Приложения:
Вас заинтересует