Алгебра 7 класс:
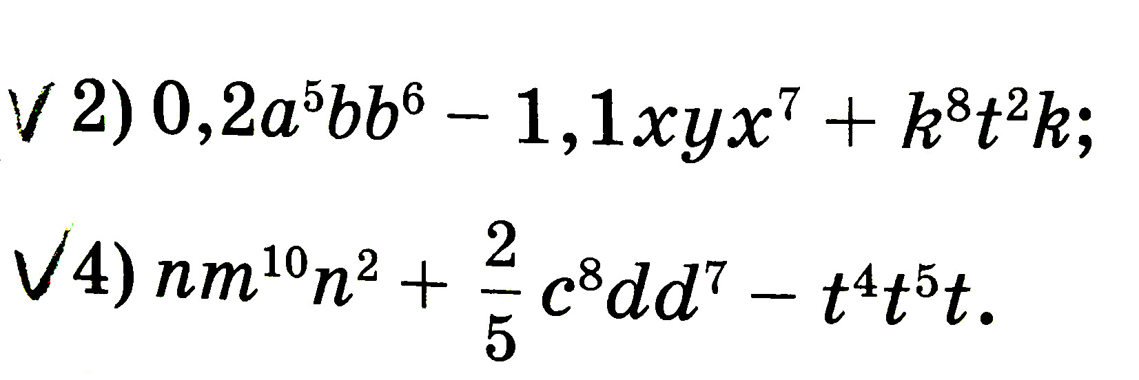
Приведите каждый член многочлена к стандартному виду и найдите степень многочлена:
Приложения:

Ответы
Ответ дал:
0
Смотри в преложении
Приложения:

Вас заинтересует
2 года назад
2 года назад
3 года назад
3 года назад
9 лет назад