• Предмет: Математика
  • Автор: Аноним
  • Вопрос задан 8 лет назад

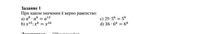
помогите сделать!!пожалуйста

Приложения:

Ответы

Ответ дал: 1233090
0
решение задания смотри на фотографии
Приложения:
Вас заинтересует