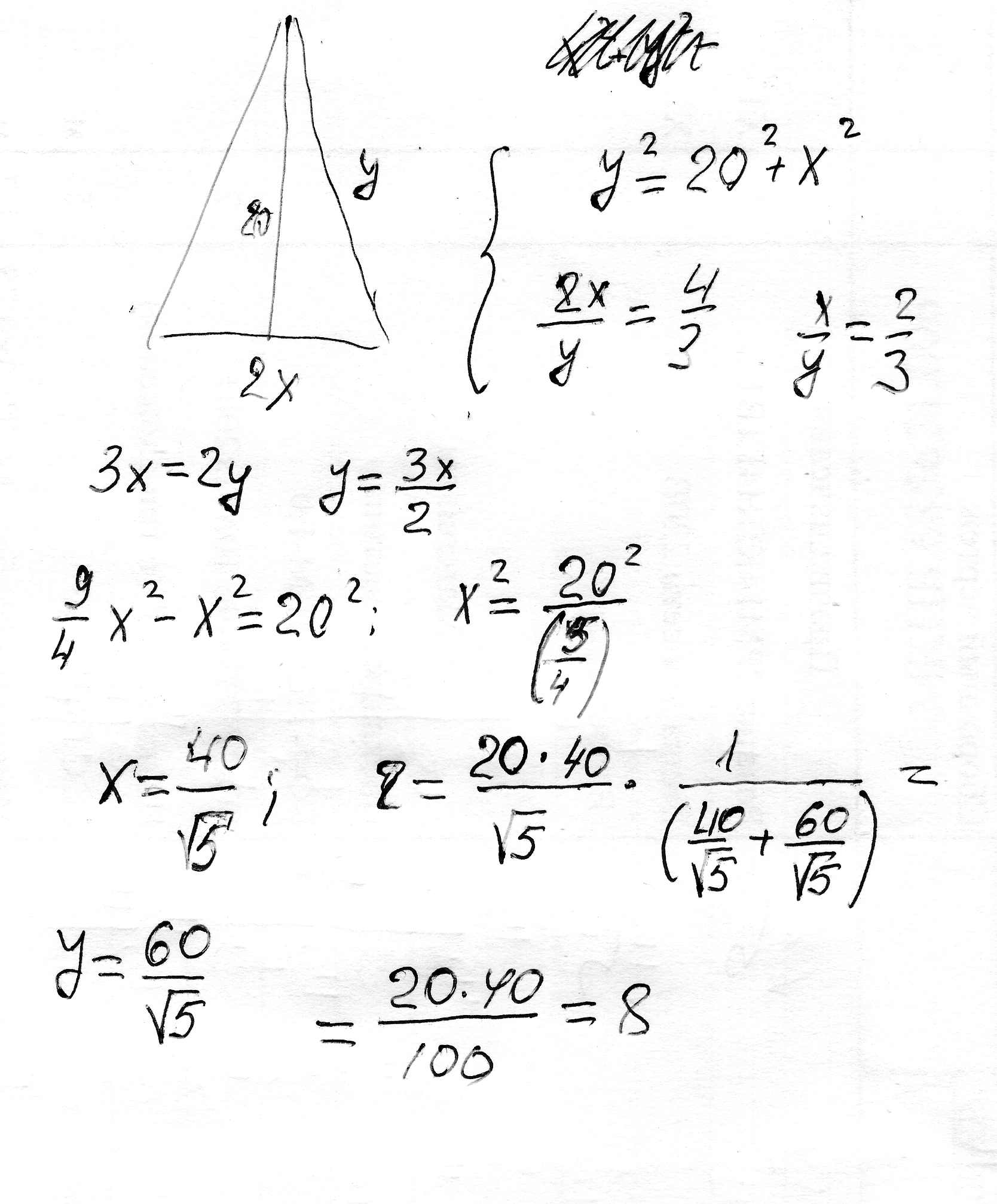
в равнобедренном треугольнике высота, опущенная на основание, равна 20,а основание относится к боковой 4:3. Найдите радиус вписанной окружности.
Ответы
Ответ дал:
0
радиус вписанной окружности находится из соотношения
s=r*p
r=s/p
ответ r=8
s=r*p
r=s/p
ответ r=8
Приложения:

Вас заинтересует
2 года назад
2 года назад
8 лет назад
8 лет назад
10 лет назад
10 лет назад