• Предмет: Алгебра
  • Автор: lizizu004
  • Вопрос задан 8 лет назад

очень срочно решите пожалуйста , даю 100 балов , 10 класс

Приложения:

Ответы

Ответ дал: Regent1828
0

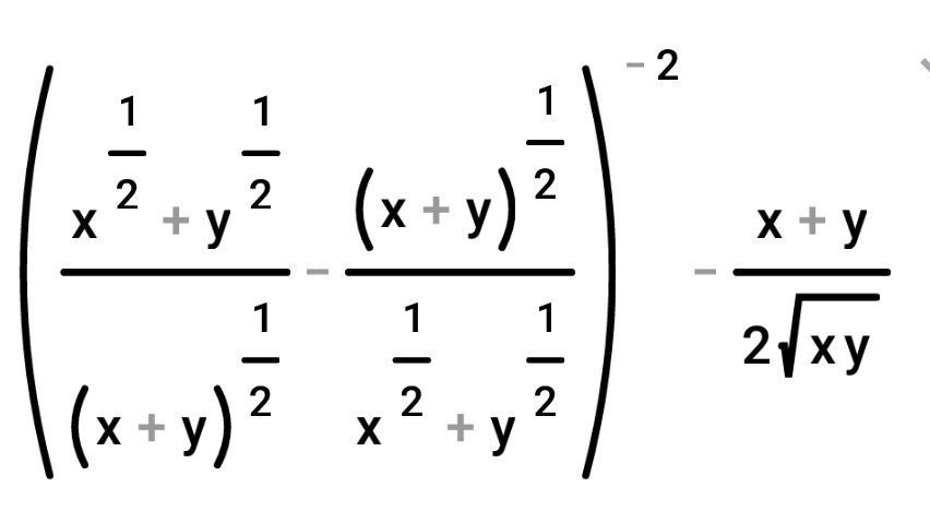
  displaystyle tt left(frac{x^{tfrac{1}{2}}+y^{tfrac{1}{2}}}{(x+y)^{tfrac{1}{2}}}-frac{(x+y)^{tfrac{1}{2}}}{x^{tfrac{1}{2}}+y^{tfrac{1}{2}}}right)^{-2}-frac{x+y}{2sqrt{xy}}=left(frac{(sqrt{x}+sqrt{y})^{2}-(sqrt{x+y})^{2}}{sqrt{x+y}cdot (sqrt{x}+sqrt{y})right)^{-2}-frac{x+y}{2sqrt{xy}}}=\\=left(frac{x+y+2sqrt{xy}-x-y}{sqrt{x+y}cdot(sqrt{x}+sqrt{y})}right)^{-2}-frac{x+y}{2sqrt{xy}}=frac{(x+y)(x+y+2sqrt{xy})}{(2sqrt{xy})^{2}}-frac{x+y}{2sqrt{xy}}=\\\

displaystyle tt {}\\=frac{(x+y)(x+y+2sqrt{xy})-(x+y)cdot 2sqrt{xy}}{4xy}=frac{(x+y)(x+y+2sqrt{xy}-2sqrt{xy})}{4xy}=\\=frac{(x+y)^{2}}{4xy};

Вас заинтересует
3 года назад