• Предмет: Алгебра
  • Автор: vladimir1917lenin199
  • Вопрос задан 8 лет назад

помогите плиз срочно

Приложения:

Ответы

Ответ дал: Ravilka2006
0

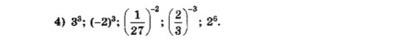
3 в кубе = 27

(-2) в кубе = -8

1/27 в -квадрате = 1/729

2/3 в -кубе = 8/27

2 в 6 степени = 64


Вас заинтересует