• Предмет: Алгебра
  • Автор: fenix51
  • Вопрос задан 8 лет назад

помогите на носу контрольная по алгебре
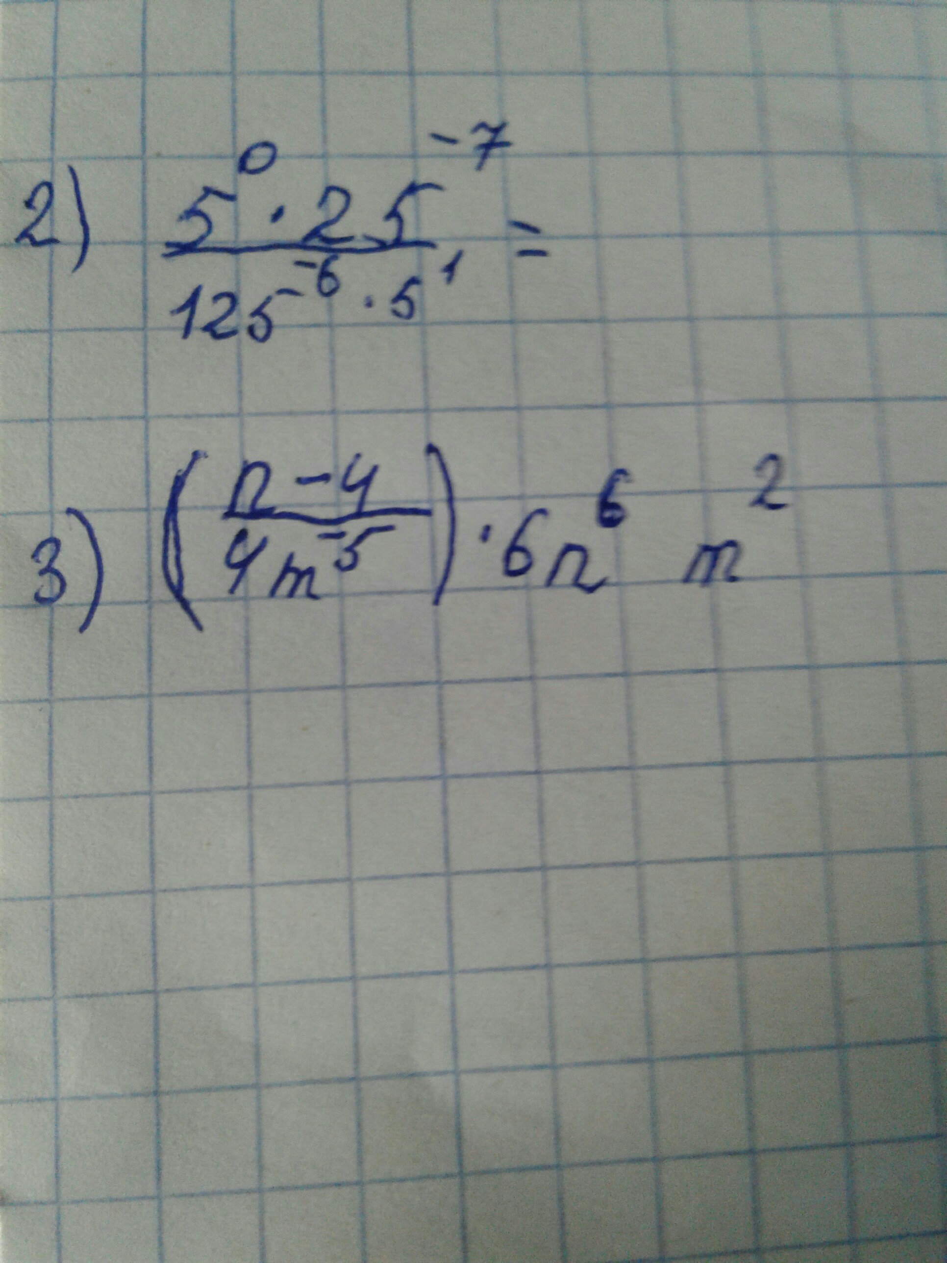
3 упростить

Приложения:

Ответы

Ответ дал: koshkina555loveM
0
спасибо за вопрос.Рада была ответить
Приложения:
Ответ дал: fenix51
0
огромное спасибо
Ответ дал: koshkina555loveM
0
да не за что
Ответ дал: fenix51
0
А вы 3 упростили?
Ответ дал: koshkina555loveM
0
да там
Ответ дал: koshkina555loveM
0
есть
Вас заинтересует