• Предмет: Алгебра
  • Автор: kik678
  • Вопрос задан 8 лет назад

пожалуйста помогите проверить решение

Приложения:

Ответы

Ответ дал: d60k60
0

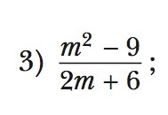
(м-3)(м+3)/2(м+3) = м-3/2 (при м не равном -3 можно сократить)

Ответ дал: OhBABY
0
M2-9/2m+6
(m+3)(m-3)/2(m+3)
M-3/2
Вас заинтересует