• Предмет: Математика
  • Автор: Пешеход
  • Вопрос задан 11 лет назад

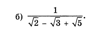
избавиться от иррациональности в знаменателе дроби

Приложения:

Ответы

Ответ дал: Айлис
0
Квадратный корень какого-то числа - это ведь это же число в степени 1/2, так? т.е. сначала записываете так: 1 деленая на : 2 в степ. 1/2 минус 3 в степ 1/2 плюс 5 в степ 1/2. Затем можно взять в скобки 2, 3 и 5 , т.е. пишете так: 1 делить на: (2-3+5) в степ 1/2. Производите вычисления в скобках, получается: 1 делить на 4 в степ. 1/2. А 4 в степ 1/2 не что иное, как квадратный корень из 4, который вы можете вычислить. Ответ: 1/2, или 0,5.
Вас заинтересует