• Предмет: Алгебра
  • Автор: geliavladimirova
  • Вопрос задан 8 лет назад

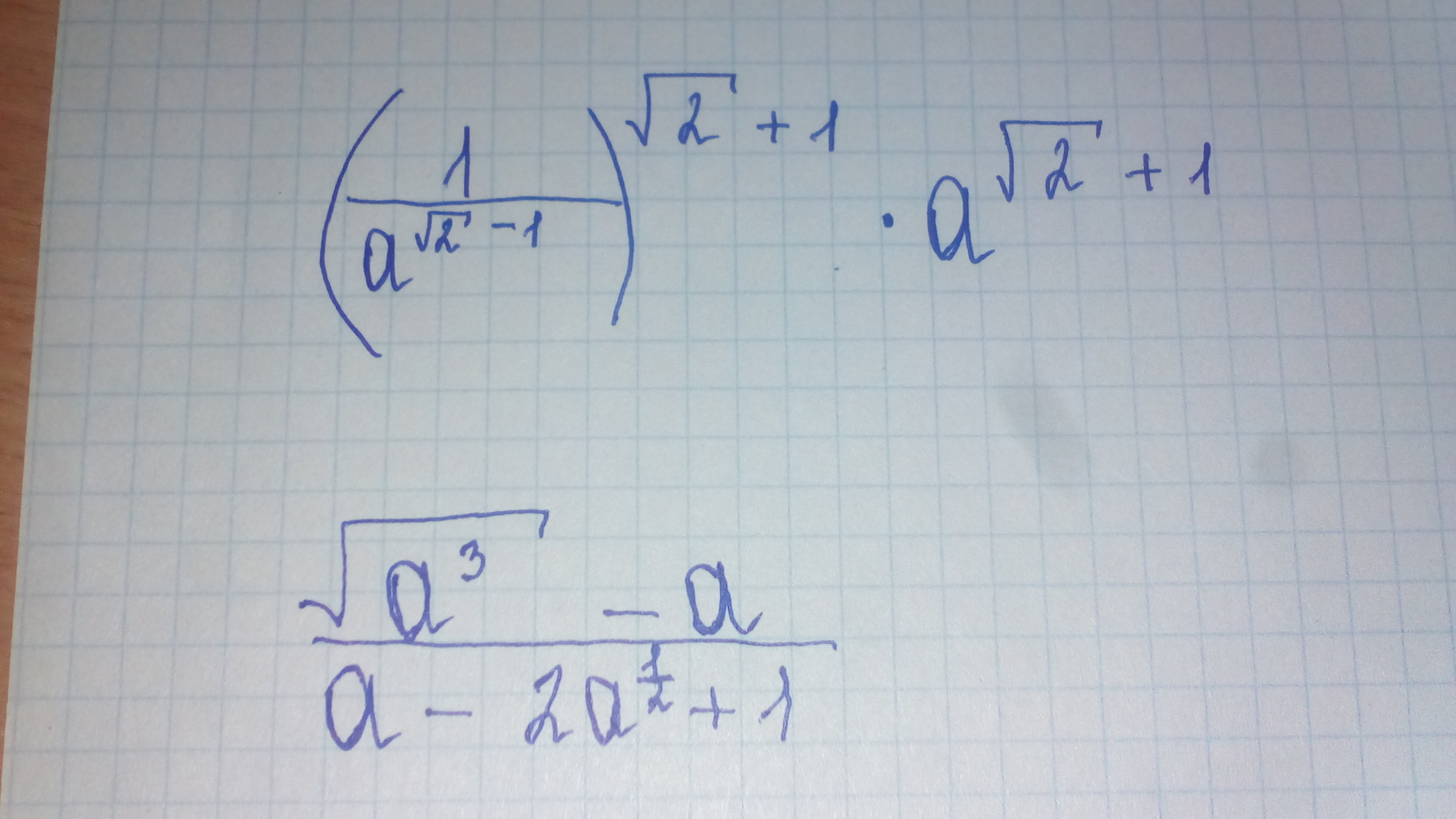
Прошу помочь,хочу свериться для достоверности моих ответов.Благодарна.

Приложения:

Ответы

Ответ дал: m11m
0

!!!!!!!!!!!!!!!!!!!!!!!!!!!!

Приложения:
Ответ дал: geliavladimirova
0
Огромное спасибо!!!
Вас заинтересует