Ответы
Ответ дал:
0
Решение задания приложено
Приложения:

Ответ дал:
0
ааа, не туда посмотрел, извиняюсь
Ответ дал:
0
Когда нет фото, я это вижу и пытаюсь добавить. Просто нужно минутку подождать.
Ответ дал:
0
да, но ваш комментарий засчитан как ответ
Ответ дал:
0
Теперь есть?
Ответ дал:
0
Игогда проблема с камерой. Поэтому через минуту-другую я обязательно добааляю ляю фото или сообщаю модераторам, чтобы удалили "ответ". Баллы меня не интересуют. Можно написать 1 балл и я решу.
Ответ дал:
0
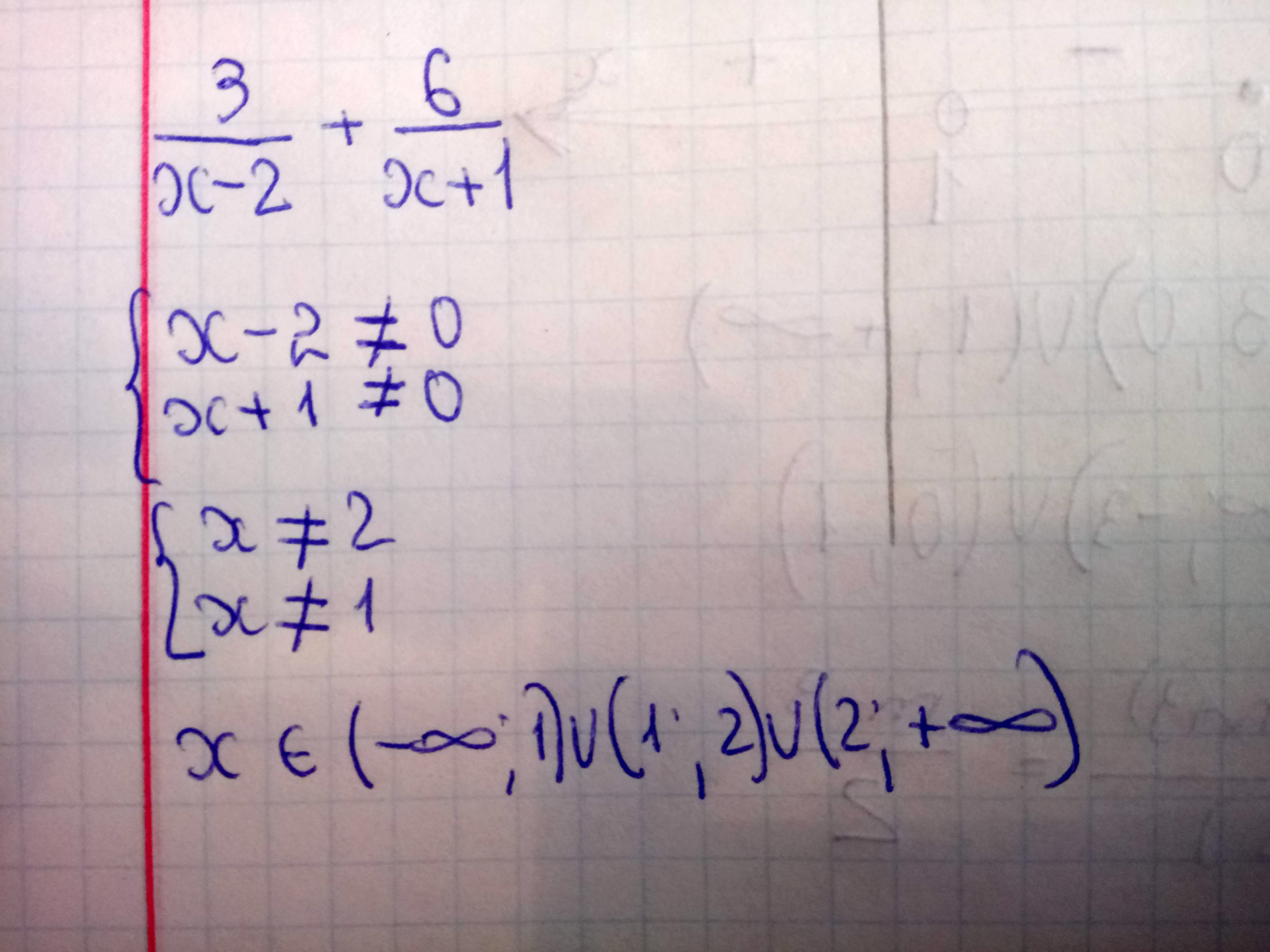
1)x-2≠0
x≠2
2)x+1≠0
x≠-1
x≠2
2)x+1≠0
x≠-1
Приложения:

Вас заинтересует
2 года назад
3 года назад
3 года назад
9 лет назад
9 лет назад
9 лет назад