• Предмет: Математика
  • Автор: Noname00000000
  • Вопрос задан 8 лет назад

Помогите с математикой пожалуйста
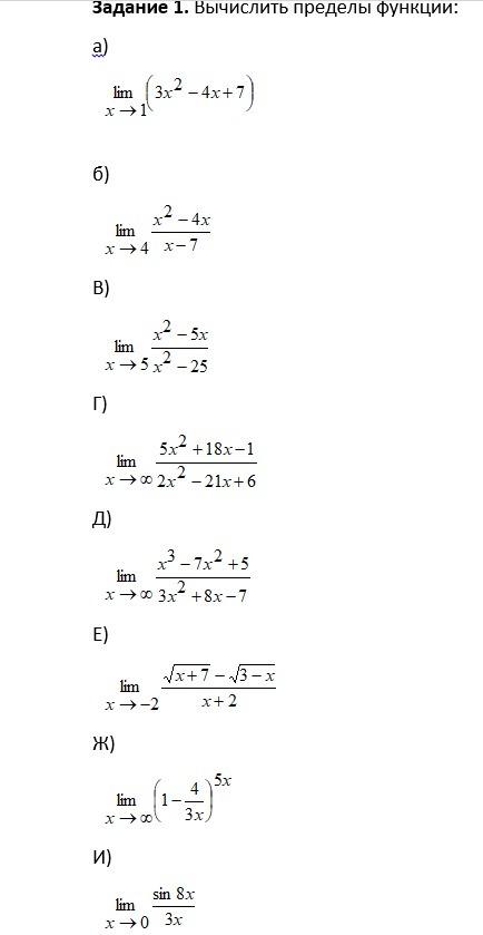
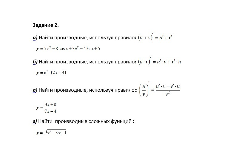
3 задания разделил по скриншотам

Приложения:

Ответы

Ответ дал: ivanspraguepaar7t
0

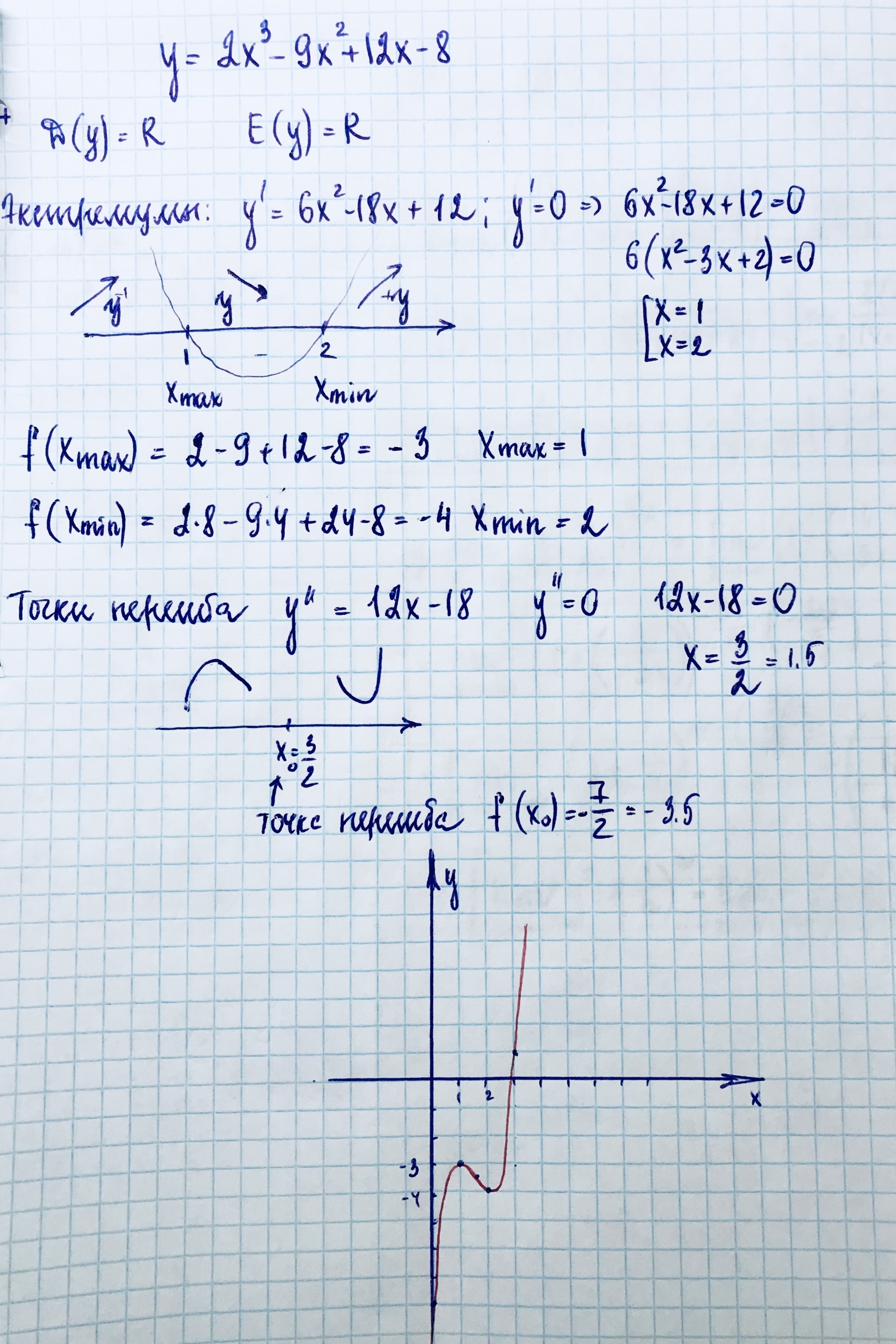
Ловите разбор всех трёх. Удачи!

Приложения:
Вас заинтересует