• Предмет: Алгебра
  • Автор: vikachebykina11
  • Вопрос задан 8 лет назад

ПОМОГИ РЕШИТЬ! АЛГЕБРУ ДАМ 30 БАЛЛОВ СРОЧНООО

Приложения:

Ответы

Ответ дал: mashkodenko1
0
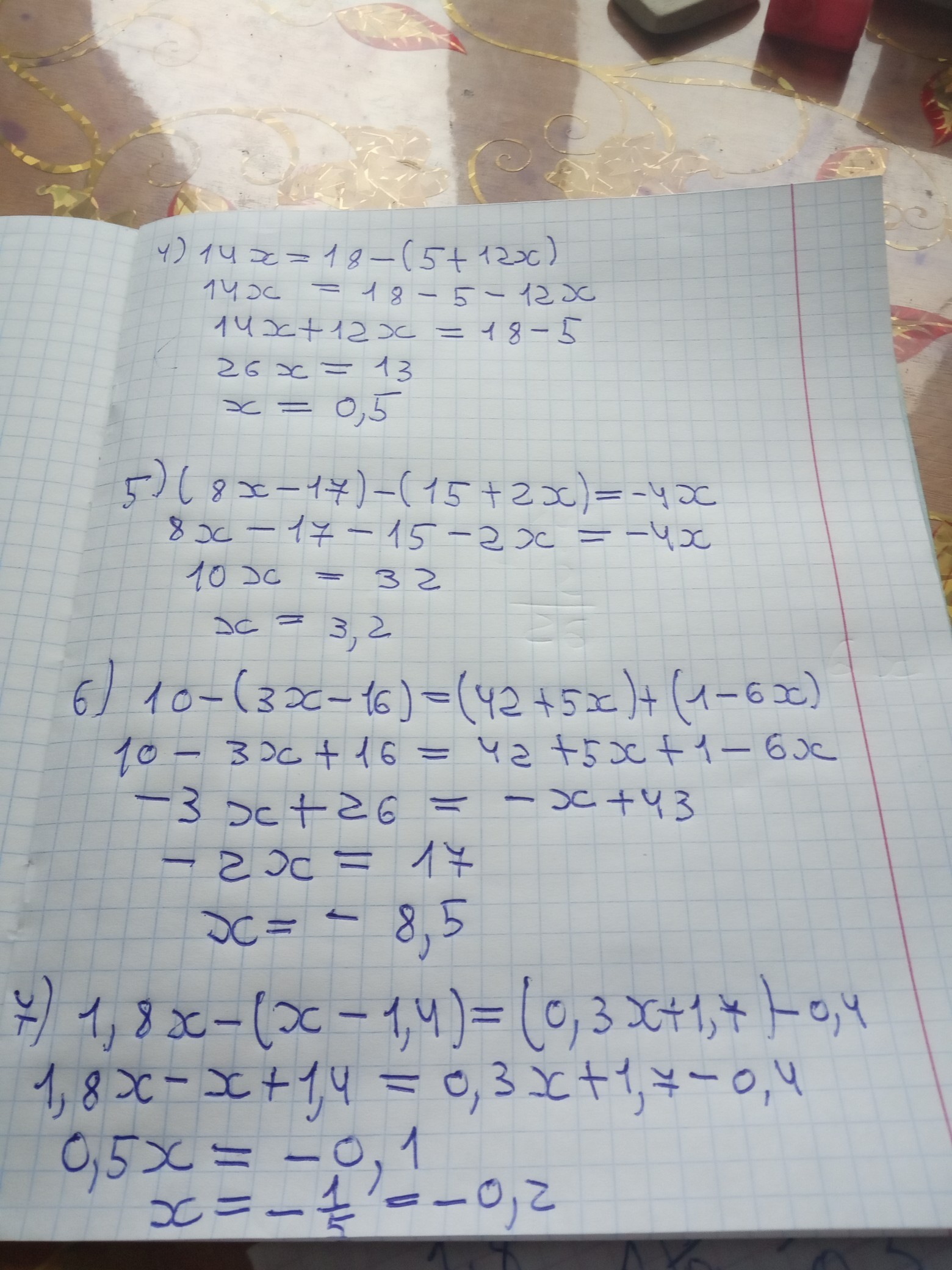
Решение на фото,посмотри
Приложения:
Ответ дал: vikachebykina11
0
скоро?...
Ответ дал: mashkodenko1
0
отослала,отредактировала решение
Ответ дал: vikachebykina11
0
спасибо тебе БОЛЬШУШИЕ
Ответ дал: vikachebykina11
0
а то я плохо понимаю эти уравнения
Ответ дал: mashkodenko1
0
пожалуйста!
Вас заинтересует