• Предмет: Алгебра
  • Автор: safarizoo777
  • Вопрос задан 8 лет назад

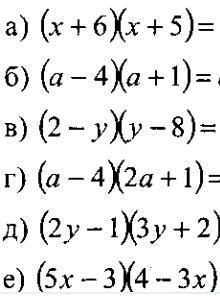
Помогите решить алгебра 8 класс!! СРОЧНО!

Приложения:

Ответы

Ответ дал: KatyaKaterina2003
0

Вот, решение на фото:

Приложения:
Вас заинтересует