• Предмет: Математика
  • Автор: tortik525
  • Вопрос задан 8 лет назад

Помогите пожалуйста сделать
(это дроби, читать слева на право) 1317 - 715 =?

Ответы

Ответ дал: agaa65
0
76/255
много приложений таких
скачай)
Приложения:
Ответ дал: tortik525
0
спасибо)
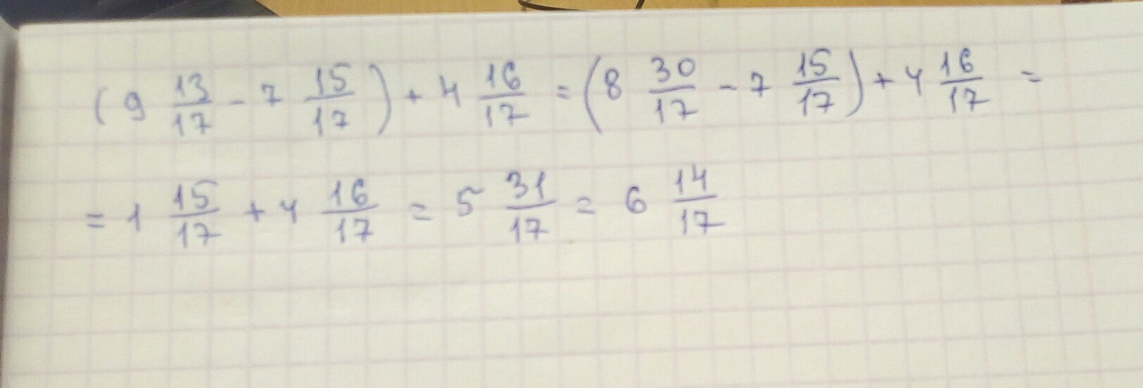
Ответ дал: vladkrehov9
0

фоточка тебе поможет

Приложения:
Ответ дал: tortik525
0
спс
Ответ дал: vladkrehov9
0
нез
Вас заинтересует