• Предмет: Алгебра
  • Автор: Николь123451257875
  • Вопрос задан 8 лет назад

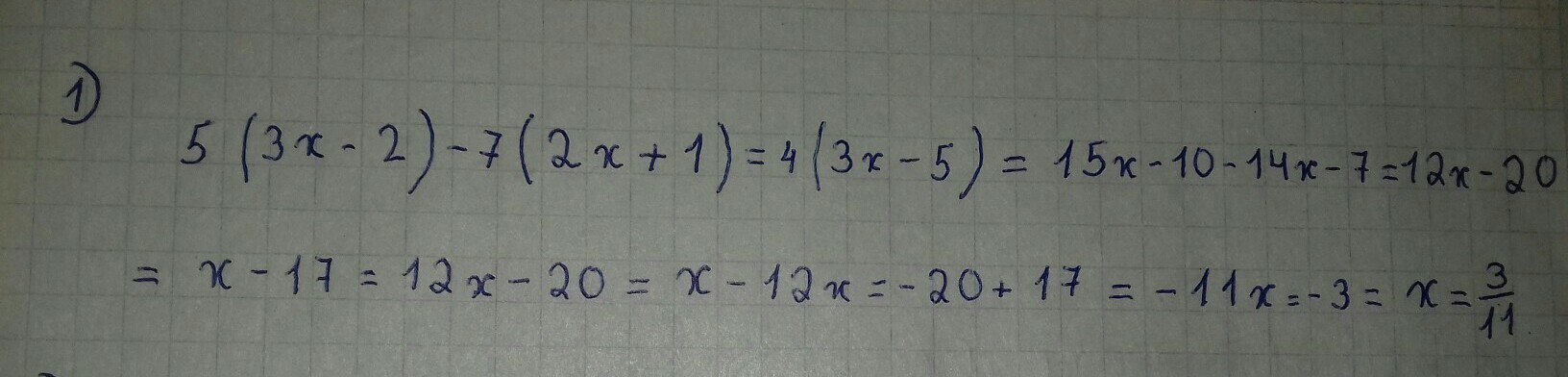
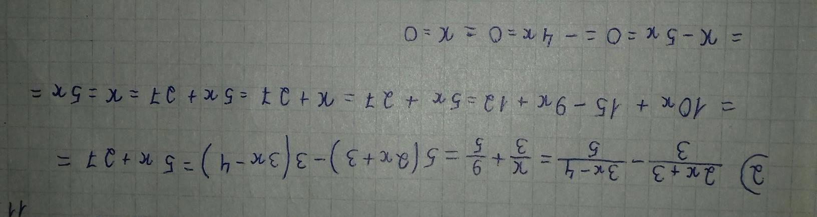
Помогите со вторым уравнением.
Заранее спасибо)
Номер 2, если что ;)

Приложения:

Ответы

Ответ дал: nocblka
0
Вот держи ))))))))))))
Приложения:
Вас заинтересует