• Предмет: Алгебра
  • Автор: Аноним
  • Вопрос задан 11 лет назад

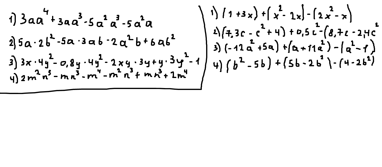
помагите пожалуста в 1 и во 2 задании нужно преобразовать в многочлен стандартного вида

Приложения:

Ответа на этот вопрос пока нет. Попробуйте найти его через форму поиска.

Вас заинтересует