• Предмет: Алгебра
  • Автор: Аноним
  • Вопрос задан 8 лет назад

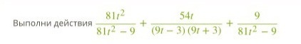
Ученикам 8 класса ВОПРОС 8

Приложения:

Ответы

Ответ дал: ggggg580
0
=
 frac{81x {}^{2} }{9(9x {}^{2} - 1)   }   +  frac{54x}{3(3x - 1) times 3(3x + 1)}  +  frac{9}{9(9x {}^{2}  - 1)}  =  frac{9x {}^{2} }{9x {}^{2} - 1) }  +  frac{6x}{(3x - 1)(3x + 1)}   +  frac{1}{9x {}^{2} - 1 }  =  frac{9x {}^{2}  + 6x + 1}{9x - 1}  =  frac{(3x +1) {}^{2}  }{(3x - 1)(3x + 1)}  =  frac{3x + 1}{3x - 1} вместо t там x
Вас заинтересует