Ответы
Ответ дал:
0
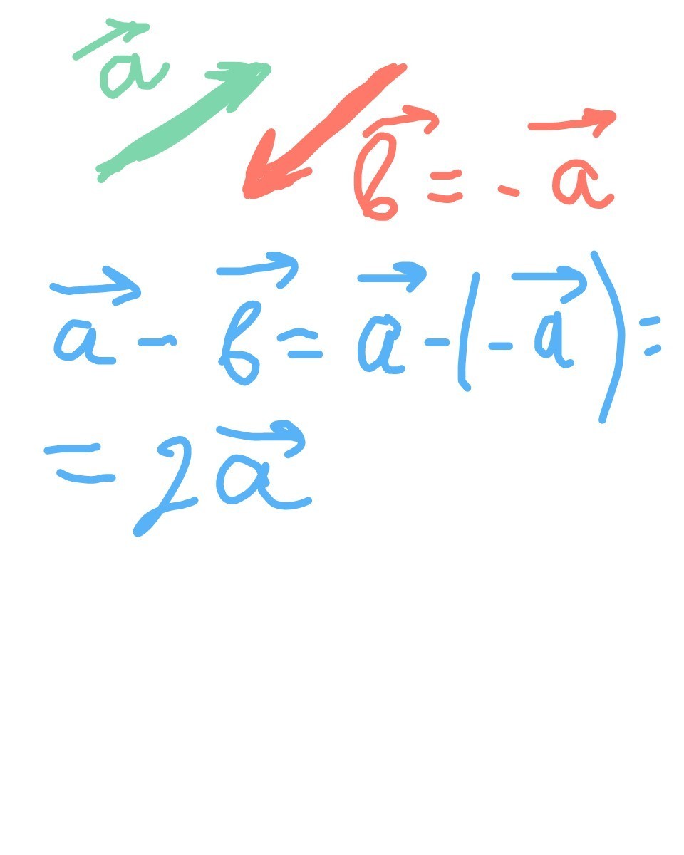
она будет равна вектору равному
удвоенному вектору, который является вычитаемым в этой разности. (см фото)
удвоенному вектору, который является вычитаемым в этой разности. (см фото)
Приложения:

Вас заинтересует
2 года назад
2 года назад
3 года назад
3 года назад
9 лет назад
9 лет назад
9 лет назад