Ответы
Ответ дал:
0
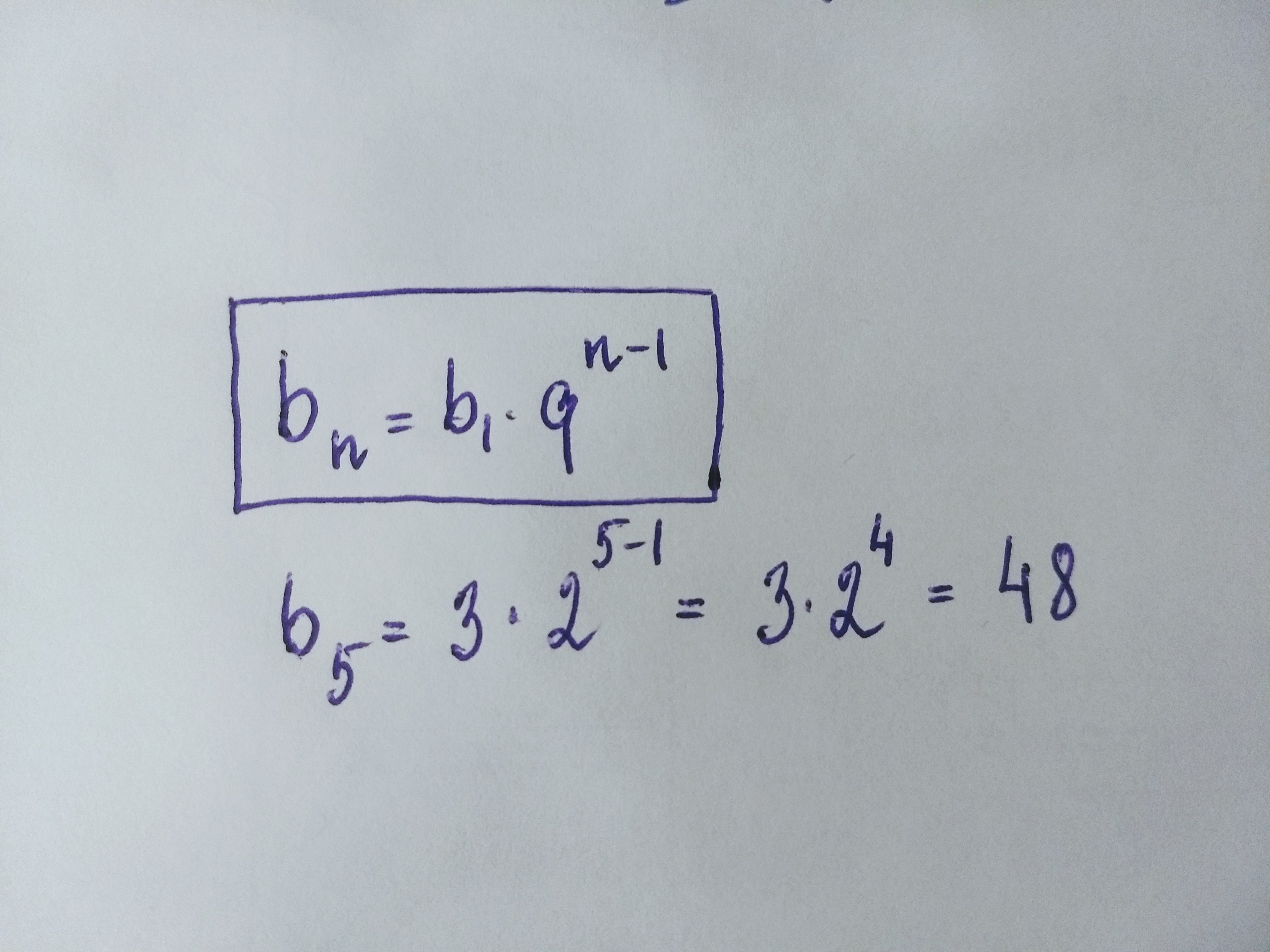
Ловите. Применяем формулу для n-ого члена геометрической прогрессии.
Приложения:

Вас заинтересует
2 года назад
3 года назад
3 года назад
9 лет назад
9 лет назад