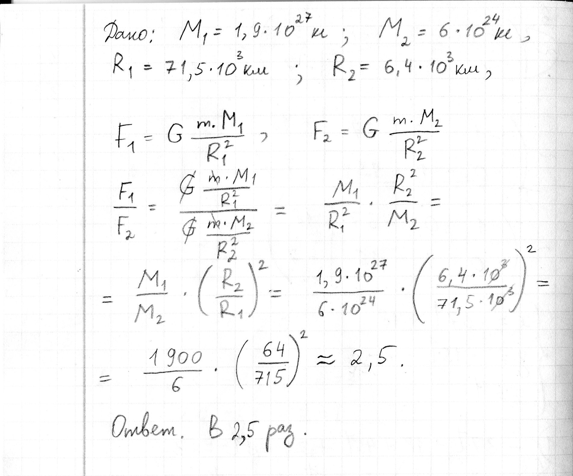
Во сколько раз вес человека на поверхности Юпитера больше его веса на поверхности Земли? Массы планет соответственно равны 1,9 * 10`27 и 6 * 10`24 кг, радиусы планет - 71,5 * 10`3 км и 6,4 * 10`3 км.
Ответы
Ответ дал:
0
Я написал решение на листочке ===>>
Приложения:

Ответ дал:
0
от души братан)
Вас заинтересует
2 года назад
3 года назад
3 года назад
9 лет назад