• Предмет: Геометрия
  • Автор: Алина4525
  • Вопрос задан 8 лет назад

сРОЧНО!Помогите плииз.Заранее спасибо!!

Приложения:

Ответы

Ответ дал: Карина12121212
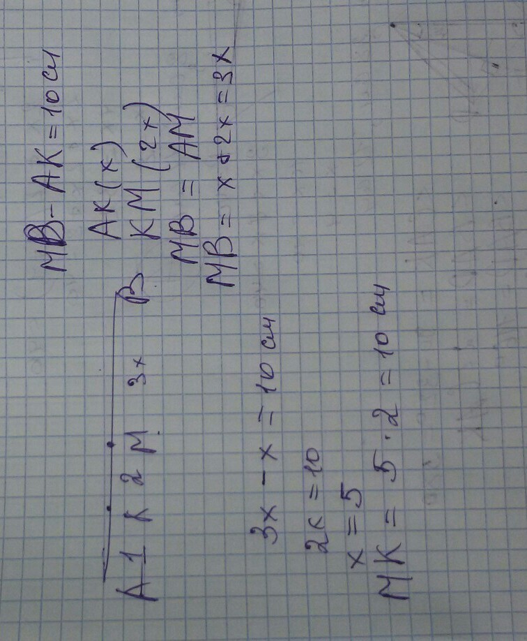
0
Вот ответ!!!!!!!!!!!!
Приложения:
Ответ дал: Карина12121212
0
х+2х
Ответ дал: Алина4525
0
Спасиибо большое)
Ответ дал: Карина12121212
0
точно понятно?
Ответ дал: Алина4525
0
Да
Ответ дал: Карина12121212
0
Ак+КМ=МВ
Вас заинтересует