• Предмет: Алгебра
  • Автор: andreykaradion
  • Вопрос задан 8 лет назад

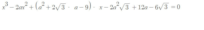
Решите уравнение с параметром. Или просто подскажите корни

Приложения:

Ответы

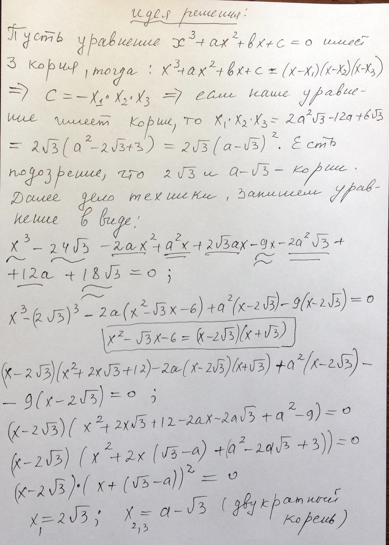
Ответ дал: antonovm
0

...................................................................................

Приложения:
Вас заинтересует