• Предмет: Алгебра
  • Автор: LGPFP
  • Вопрос задан 8 лет назад

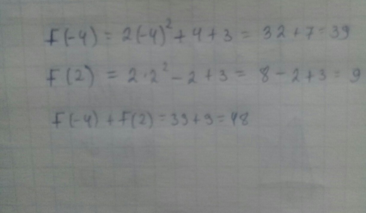
СРОЧНО ПОМОГИТЕ!!! ПРОШУ!!! ФУНКЦИЯ ЗАДАНА ФОРМУЛОЙ F(x) = 2x^2-x+3 Найти: F(-4) + F(2)

Ответы

Ответ дал: amilie49
0
**************((((((
Приложения:
Ответ дал: kvev1
0

=2*(-4)^2-(-4)+3+2*(2)^2-2+3=31+4+6+8-2=48

Приложения:
Вас заинтересует