• Предмет: Математика
  • Автор: polijj
  • Вопрос задан 8 лет назад

помогите решить пж от 3 по 7

Приложения:

Ответы

Ответ дал: luna765
0


Не видно нескольких задач. Если не сложно,сделайте фотографии четче.

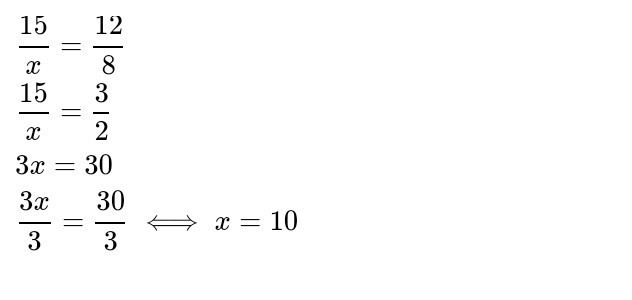
А так,вот задания под номером 3 и 5.
Приложения:
Вас заинтересует