Ответы
Ответ дал:
0
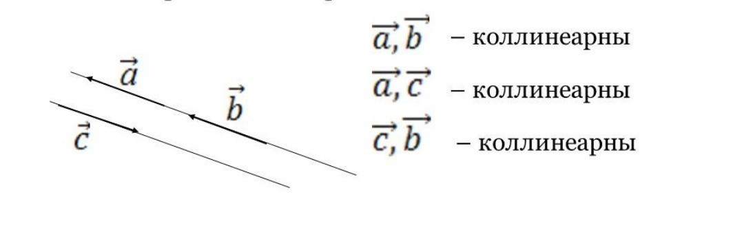
Пример коллинеарных векторов во вложении.
Коллинеарными называются вектора, которые лежат на одной прямой, или, если они параллельны.
Коллинеарными называются вектора, которые лежат на одной прямой, или, если они параллельны.
Приложения:
Вас заинтересует
2 года назад
3 года назад
9 лет назад
9 лет назад