• Предмет: Алгебра
  • Автор: lilmakar2016
  • Вопрос задан 8 лет назад

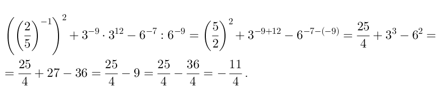
((2/5)^-1)^2 + 3^-9 * 3^12 - 6^-7 : 6^-9

Ответы

Ответ дал: genius20
0

Если моё решение оказалось полезным, отмечайте его как «лучший ответ».

Приложения:
Вас заинтересует