• Предмет: Математика
  • Автор: olegnikiforov0
  • Вопрос задан 8 лет назад

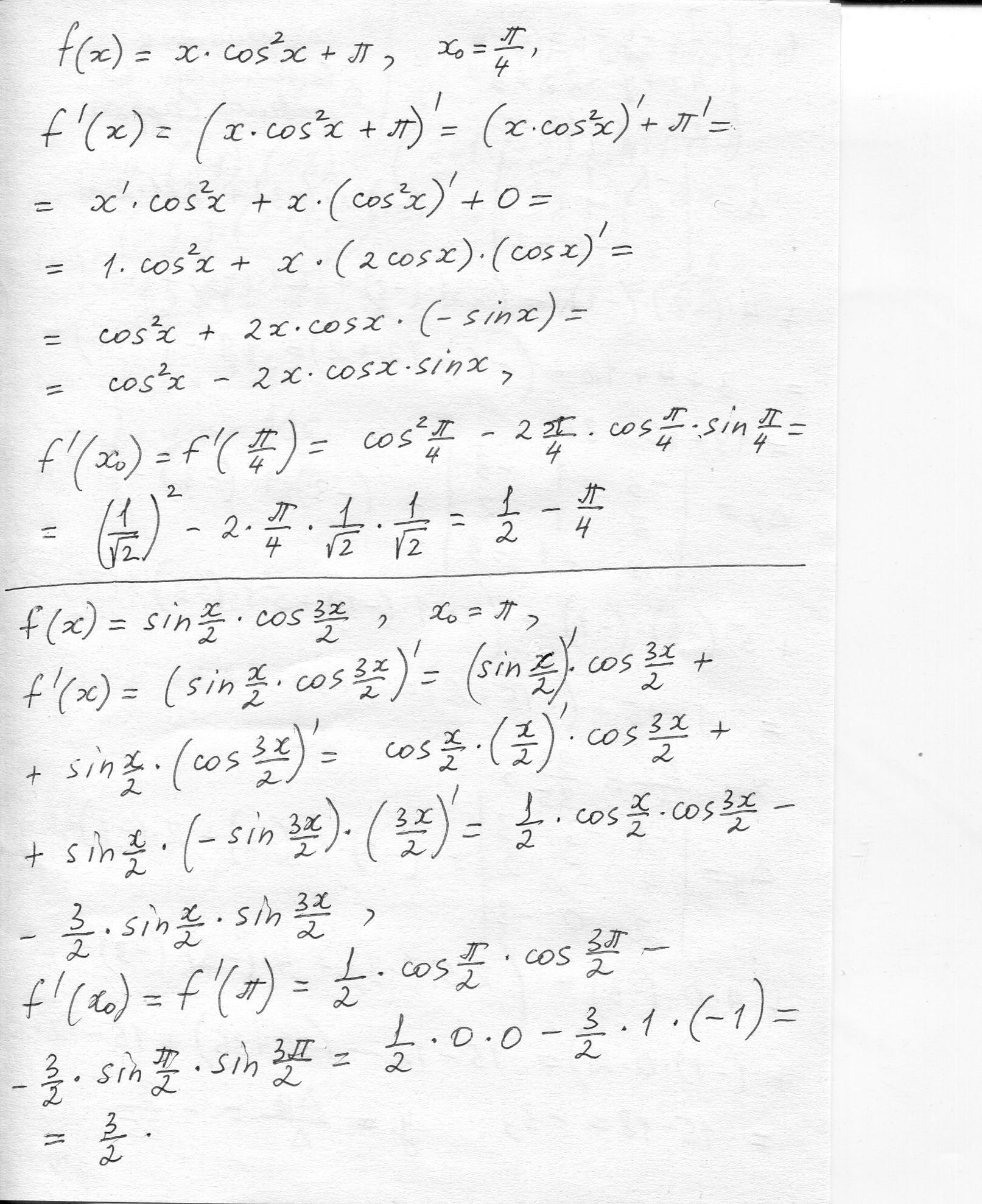
Вычислить производную функции.
Премного благодарен. Задание на двух фотографиях. Еще лучше, если будет все расписано в подробностях. Понять тему нужно.

Приложения:

Ответы

Ответ дал: NNNLLL54
0

1); ; y=xcdot cos^2x\\y'=cos^2x+xcdot 2, cosxcdot (-sinx)=cos^2x-xcdot sin2x\\y'(frac{pi }{4})=(frac{sqrt2}{2})^2-frac{pi }{4}cdot sinfrac{pi}{2}=frac{1}{2}-frac{pi}{4}=frac{2-pi }{4}

2); ; y=sinfrac{x}{2}cdot cosfrac{3x}{2}\\y'=frac{1}{2}cdot cosfrac{x}{2}cdot cosfrac{3x}{2}-frac{3}{2}cdot sinfrac{x}{2}cdot sinfrac{3x}{2}\\y'(pi )=frac{1}{2}cdot 0-frac{3}{2}cdot 1cdot (-1)=frac{3}{2}

Ответ дал: Аноним
0

я написал краткое решение на листочке ===>>

Приложения:
Вас заинтересует