Характеристика водорода по плану
1.общая характеристика
2.строение атома
3.нахождение в природе
4.получение
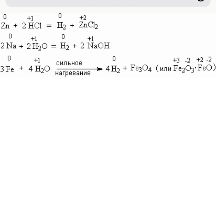
5.химические свойства
6.использование человеком
Ответы
Ответ дал:
0
1. Водоро́д — первый элемент периодической системы элементов; обозначается символом H.
2. В 1913 году Нильс Бор предложил схему строения атома водорода, согласно которой положительно заряженное ядро находится в центре, а вокруг него по единственной орбитали движется электрон
3. В природе водород образуется главным образом при разложении органических веществ, например целлюлозы или белков, некоторыми видами бактерий.
4.фото
5. Взаимодействие с галогенами, Сильным восстановителем является атомарный водород. Взаимодействие с активными металлами
6. Водород используют в различных отраслях промышленности.
Много водорода уходит на производство аммиака (NH3). Далее из аммиака получают азотные удобрения, синтетические волокна и пластмассы, лекарства.
Из водорода и хлора производят хлороводород (HCl) и соляную кислоту (водный раствор HCl).
Водород используют при производстве различных органических веществ. Например, для производства метилового спирта используют смесь водорода с угарным газом (CO) — синтез-газ.
2. В 1913 году Нильс Бор предложил схему строения атома водорода, согласно которой положительно заряженное ядро находится в центре, а вокруг него по единственной орбитали движется электрон
3. В природе водород образуется главным образом при разложении органических веществ, например целлюлозы или белков, некоторыми видами бактерий.
4.фото
5. Взаимодействие с галогенами, Сильным восстановителем является атомарный водород. Взаимодействие с активными металлами
6. Водород используют в различных отраслях промышленности.
Много водорода уходит на производство аммиака (NH3). Далее из аммиака получают азотные удобрения, синтетические волокна и пластмассы, лекарства.
Из водорода и хлора производят хлороводород (HCl) и соляную кислоту (водный раствор HCl).
Водород используют при производстве различных органических веществ. Например, для производства метилового спирта используют смесь водорода с угарным газом (CO) — синтез-газ.
Приложения:
Ответ дал:
0
Если мой ответ помог вам, отметите его пожалуйста как лучший
Ответ дал:
0
Спасибо тебе
Вас заинтересует
2 года назад
2 года назад
3 года назад
3 года назад
9 лет назад
9 лет назад
10 лет назад