• Предмет: Алгебра
  • Автор: thevlada
  • Вопрос задан 8 лет назад

ПОЖАЛУЙСТА! СРОЧНО!

Приложения:

Ответы

Ответ дал: tyrsinakaty1
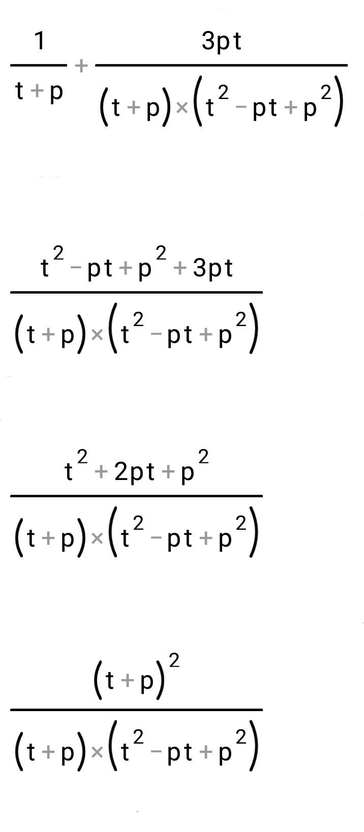
0

 frac{t + p}{t {}^{2} - pt + p {}^{2}  }
правильный вариант ответа 4
Приложения:
Вас заинтересует