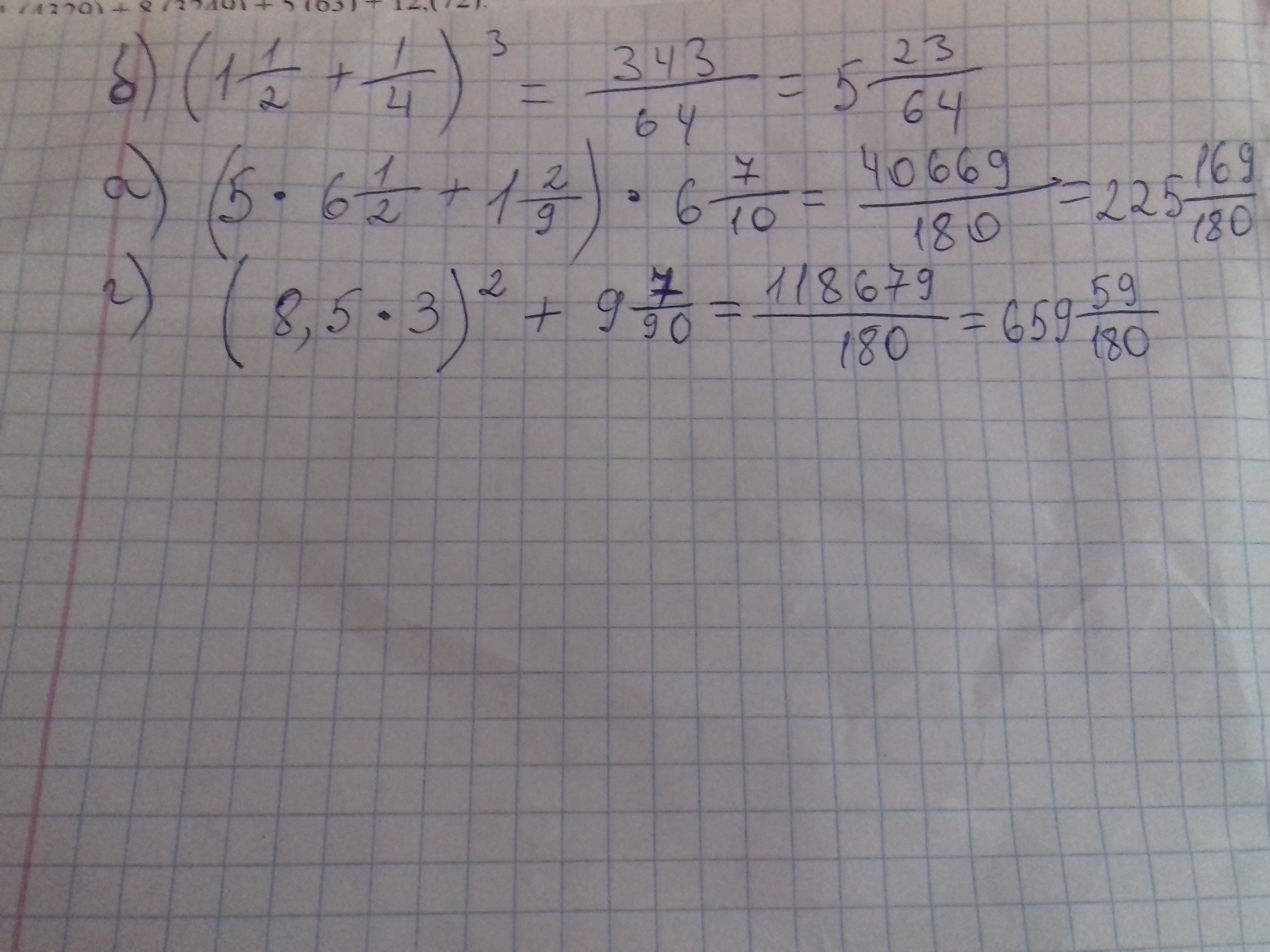
напишите такие числовые выражения,чтобы при нахождении их были последовательно выполнены следующие действия:а)умножение,сложение и умножение;б)сложение и возведение в куб;г)умножение,возведение в квадрат и сложение
Ответы
Ответ дал:
0
Если что-то не поймешь спрашивай
Приложения:

Вас заинтересует
2 года назад
2 года назад
3 года назад
3 года назад
9 лет назад
9 лет назад