• Предмет: Алгебра
  • Автор: Катя9851щ
  • Вопрос задан 8 лет назад

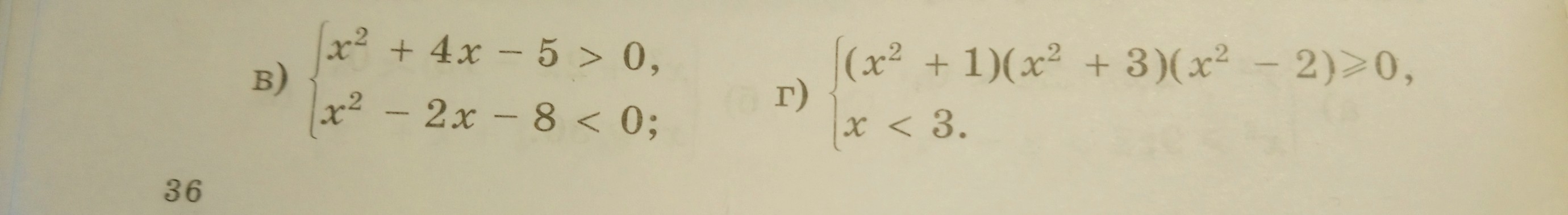
Решите систему уравнение

Приложения:

Ответы

Ответ дал: aykokult
0
в) из второго уравнений оба части умножаем на( -1)
 {x}^{2} + 4x - 5 > 0 \ - {x}^{2} + 2x + 8 > 0 \ - - - - - - - - - - \ 6x + 3 > 0 \ 6x > - 3 \ x > - frac{ 1}{2}
Вас заинтересует