• Предмет: Алгебра
  • Автор: 111111DA
  • Вопрос задан 8 лет назад

Не знаю,как решить,помогите
Тема:арифметический корень натуральной степени

Приложения:

Ответы

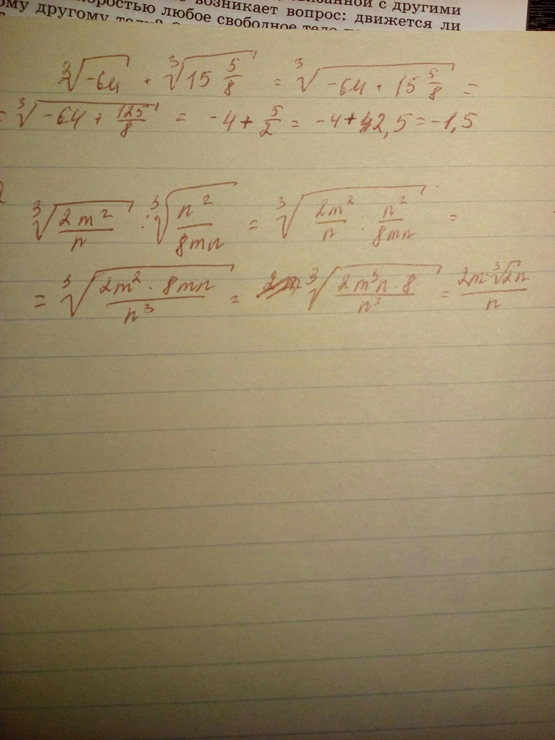
Ответ дал: privetpoka2354
0
решение на фото........
Приложения:
Вас заинтересует