• Предмет: Геометрия
  • Автор: angelinazubkova1982
  • Вопрос задан 8 лет назад

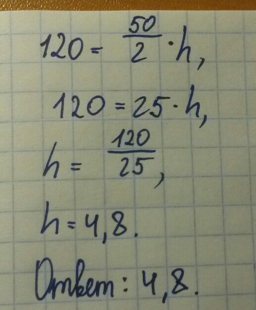
как найти высоту трапеции если ее площадь 120 а средняя линия 25

Ответы

Ответ дал: ХЕЛИКОПТЕР
0
Вот решение. Удачи :)
Приложения:
Вас заинтересует