• Предмет: Алгебра
  • Автор: Аноним
  • Вопрос задан 8 лет назад

помогите пожалуйста

Приложения:

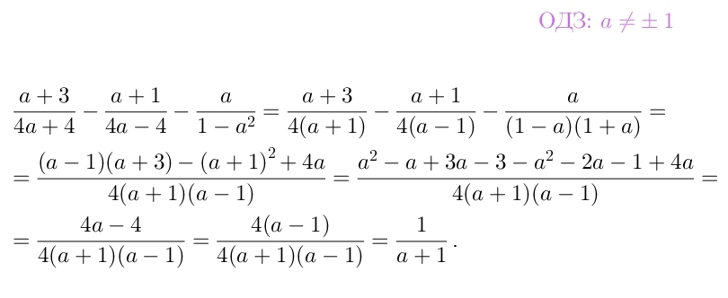
Ответы

Ответ дал: genius20
0

Если мой ответ оказался полезен, отмечайте его как «лучший ответ».

Приложения:
Вас заинтересует