• Предмет: Алгебра
  • Автор: Ксения19997
  • Вопрос задан 8 лет назад

помогите пожалуйста, буду очень блогодарна за помощь)

Приложения:

Ответы

Ответ дал: sangers
0

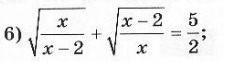
  √(x/(x-2))+√((x-2)/x)=5/2.

ОДЗ: x-2≠0      x≠2      x≠0

x/(x-2)≥0     -∞___+___0___-___2___+____+∞   ⇒    x∈(-∞;0)U(2;+∞).

Пусть √(x/(x-2))=t≥0      ⇒

t+1/t=5/2  |×2t

2t²+2=5t

2t²-5t+2=0      D=9     √D=3

t₁=√(x/(x-2))=2

(√(x/(x-2))²=2²

x/(x-2)=4

x=4x-8

3x=8  |÷3

x₁=8/3 ∈ОДЗ

t₂=√(x/(x-2))=1/2

(√(x/(x-2))²=(1/2)²

x/(x-2)=1/4

4x=x-2

3x=-2  |÷3

x=-2/3 ∈ОДЗ.

Ответ: x₁=8/3     x₂=-2/3.

√(x-4√x+4)=3

√((√x)²-2*√x*2+2²)=3

√(√x-2)²=3

|√x-2|=3

Раскрываем модуль и получаем систему уравнений:

√x-2=3      √x=5      (√x)²=5²      x=25.

-(√x-2)=3 |×(-1)      √x-2=-3      √x=-1   ∉, так как √x≥0.

Ответ: x=25.

√(3x+7)-√(x+1)=2

ОДЗ: 3x+7≥0   3x≥-7  |÷3     x≥-7/3     x+1≥0   x≥-1    ⇒   x∈[-1;+∞).

(√(3x+7))²=(√(x+1)+2)²

3x+7=x+1+2*2*√(x+1)+4

3x+7=x+5+4√(x+1)

(2x+2)²=(4√(x+1))²

4x²+8x+4=16x+16

4x²-8x-12=0    D=256    √D=16

x₁=3    ∈ОДЗ        x₂=-1  ∈ОДЗ.

Ответ: x₁=3      x₂=-1.

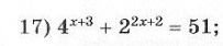
4ˣ⁺³+2²ˣ⁺²=51

2²*⁽ˣ⁺³⁾+2²ˣ⁺²=51

2²ˣ⁺⁶+2²ˣ⁺²=51

2⁶*2²ˣ+2²*2²ˣ=51

64*2²ˣ+4*2²ˣ=51

68*2²ˣ=51  |÷68

2²ˣ=3/4  |×4

4*2²ˣ=3

2²*2²ˣ=3

2²ˣ⁺²=3

log₂2²ˣ⁺²=log₂3

2x+2=log₂3

2x=(log₂3)-2  |÷2

Ответ: x=((log₂3)-2)/2.





















   

Ответ дал: oganesbagoyan
0

task/29846038  cм  ПРИЛОЖЕНИЕ

ответы    6)  { -2/3 ; 8/3 } ,  8)  25 ,    10)  { -1; 3}  , 17) log₂√3  - 1.

Приложения:
Вас заинтересует