• Предмет: Математика
  • Автор: semkawf
  • Вопрос задан 8 лет назад

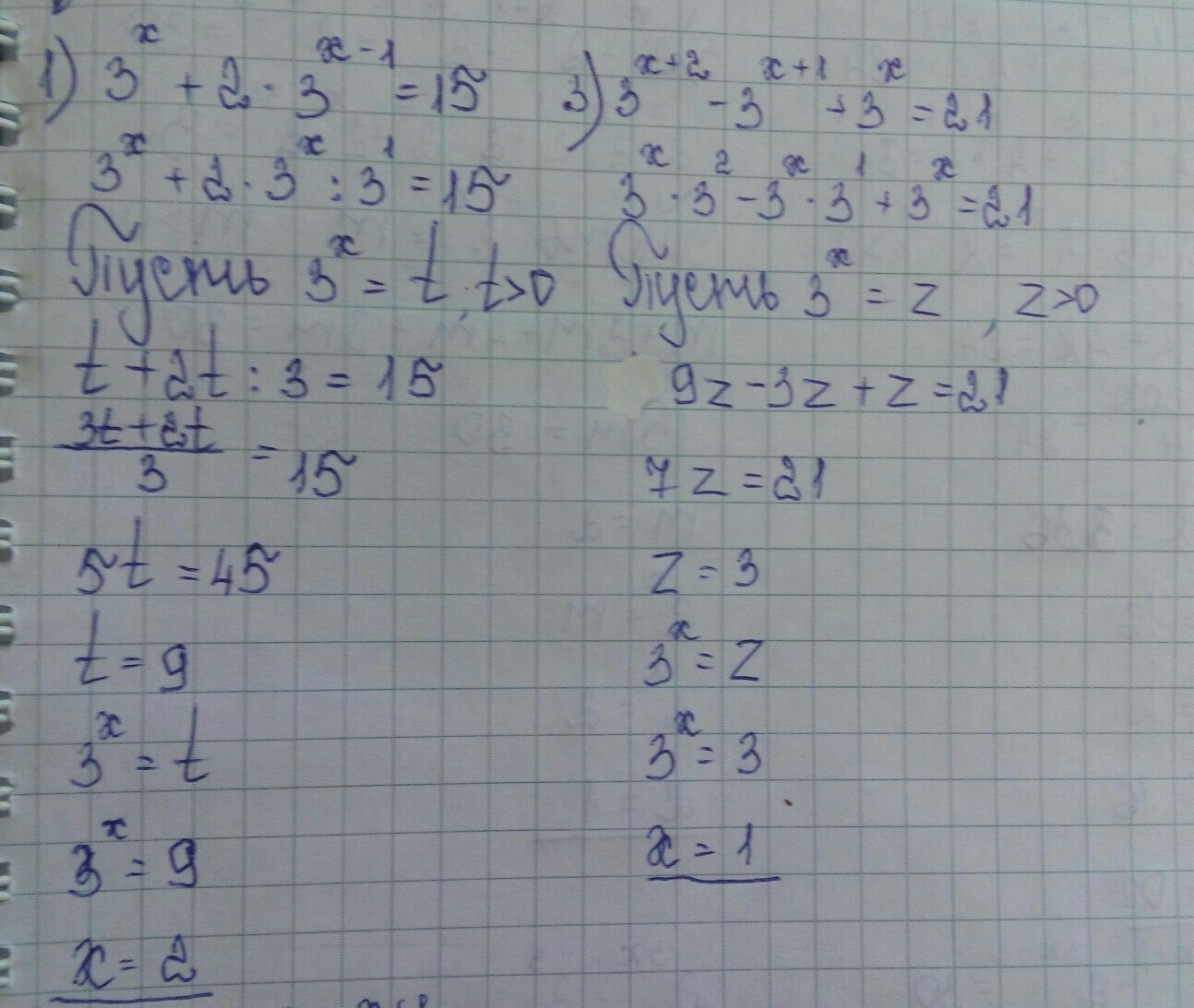
Помогите решить,нужно расписать

Приложения:

Ответы

Ответ дал: Arbyzik555
0
Во втором я только не поняла, что это за дроби, что к чему относится. Во вмяком случае, попробуй решить по аналогии.
Приложения:
Ответ дал: semkawf
0
Спасибо,но это показательные уравнения
Ответ дал: Arbyzik555
0
Это один из способов решений показательных уравнений: метод введения новой переменной.
Ответ дал: Arbyzik555
0
Он достаточно часто используется и ,в какой-то степени, облегчает счет.
Вас заинтересует