• Предмет: Алгебра
  • Автор: murrrk43
  • Вопрос задан 8 лет назад

Помогите срочноооо!!!!

Приложения:

Ответы

Ответ дал: oganesbagoyan
0

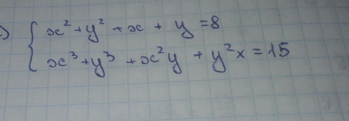
task/29846835  Решить систему { x²+y² +x+y  =8  ; x³+y³ + x²y+y²x =15 .

Решение: систему  перепишем в виде

{ (x+y)² -2xy +(x+y)  =8  ; (x+y)³ -3xy(x+y)  +xy(x+y) =15.

производя замену:   (x+y) =u ;  xy = v, получаем   { u²-2v +u =8 , u³-2uv =15. ⇔

{ u² -2v = 8 -u ; u(u² -2v) =15.  u(8-u) =15 ⇔ u² - 8u +15 = 0  ⇔ [ u =3 ; u= 5.    

* * *    [x+y =3 ; x+y= 5   * * *

a)  u =3 → во второе уравнение : 3(3² -2v) =15⇒v =2.  и   обратной заменой

{ x+y =3 ; xy =2.   x и y  можно представлять как корни квадратного уравнения  t² -3t +2 =0  (обр.теорема Виета)⇒ [ t=1 ; t=2.  ответ а : (1 ;2) , (2;1).

б) u =5  (аналогично) :   5(5²-2v) =15⇒v =11

{ x+y =5 ; xy =11. ⇒t² - 5t +11 = 0 , D = 5²-4*1*11 = -19 <0 не имеет действительных корней .

ответ: (1 ;2) , (2; 1)  .


Ответ дал: murrrk43
0
Спасибо Вам большое
Вас заинтересует