Ответы
Ответ дал:
0
Вот графическое решение задачи
Приложения:

Ответ дал:
0
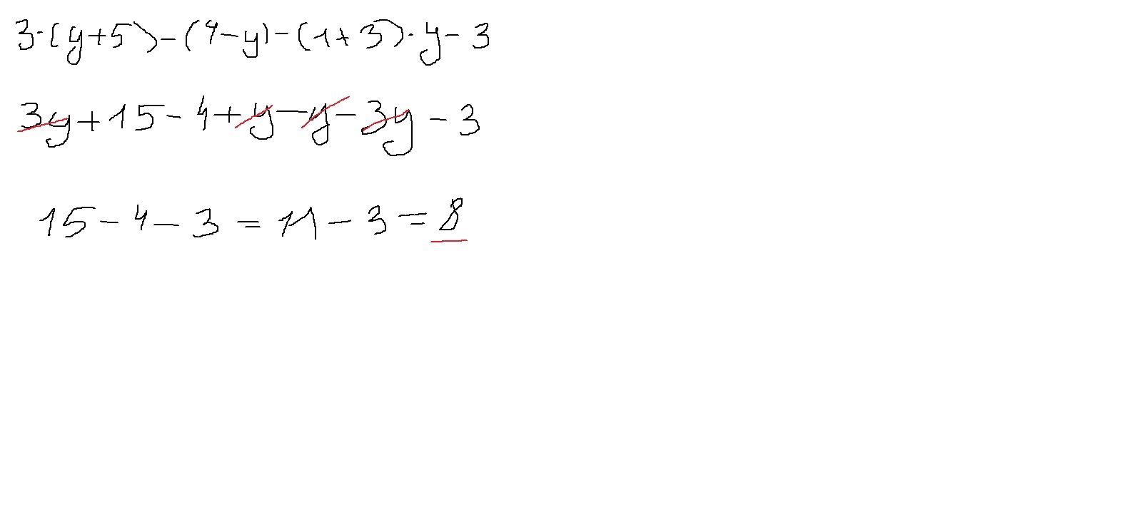
3(y+5)-(4-y)-(1+3)y-3
3у+15-4+у-4у-3
Привести подобные члены
0+8
Ответ: 8
3у+15-4+у-4у-3
Привести подобные члены
0+8
Ответ: 8
Приложения:

Вас заинтересует
2 года назад
2 года назад
3 года назад
9 лет назад
9 лет назад