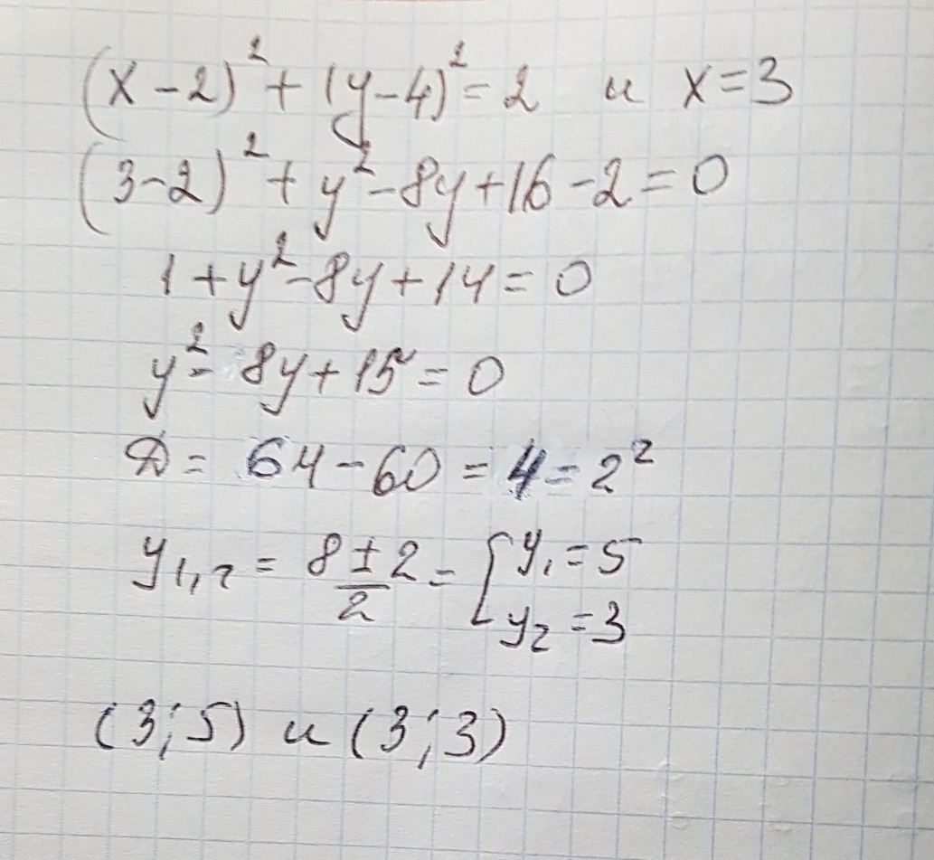
Знайдіть координати точок перетину кола (х-2)*+(у-4)*=2
з прямою х=3 Очень надо помогите кто может
Ответы
Ответ дал:
0
решение задания смотри на фотографии
Приложения:

Вас заинтересует
2 года назад
2 года назад
3 года назад
9 лет назад
9 лет назад
9 лет назад