• Предмет: Алгебра
  • Автор: afafaga
  • Вопрос задан 8 лет назад

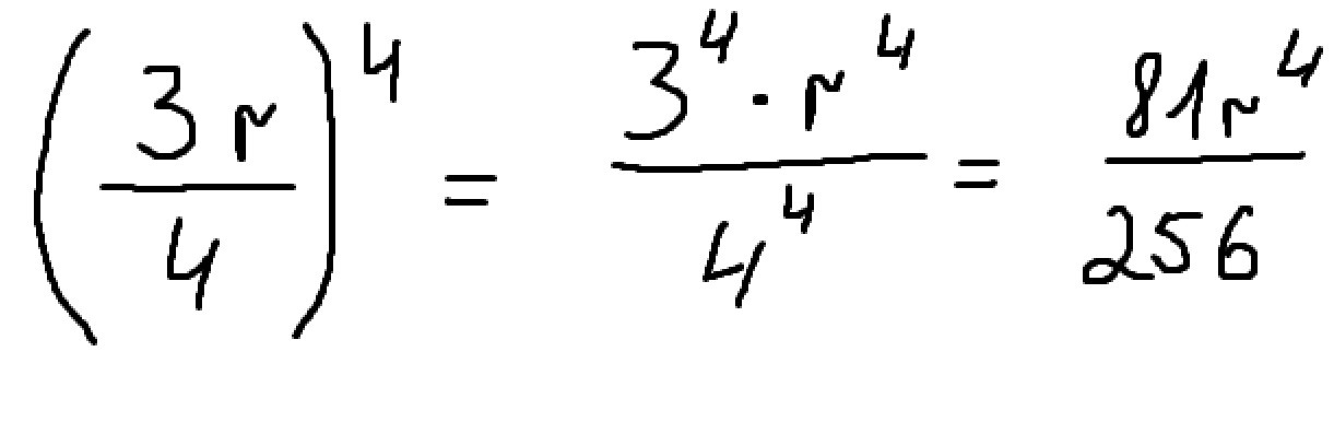
Возведи в степень алгебраическую дробь.

Приложения:

Ответы

Ответ дал: csharp
0

Ответ ответ ответ ответ ответ

Приложения:
Ответ дал: afafaga
0
Непонятно
Ответ дал: afafaga
0
Можешь нарисовать?
Ответ дал: csharp
0
Нарисовал, обнови
Ответ дал: afafaga
0
спасиб
Вас заинтересует